Free Access

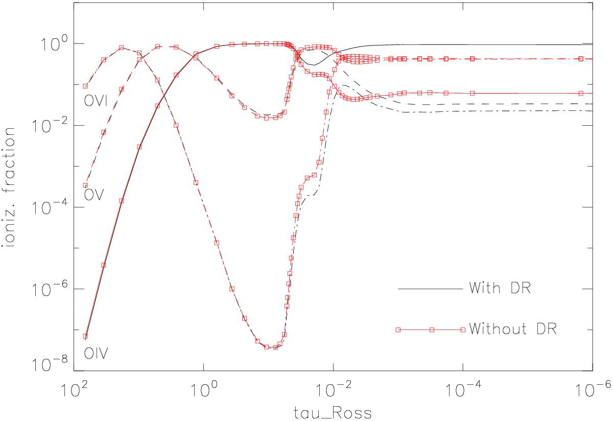
Fig. 17

image

Ionization fractions of oxygen, as a function of τRoss, for a D45 model with fX = 0.03 and = 3 × 106 K, with and without dielectronic recombination (DR). We note the large differences for all the stages when (), particularly the change in the main ionization stage (from O v/O vi to O iv) when DR is included.

Current usage metrics show cumulative count of Article Views (full-text article views including HTML views, PDF and ePub downloads, according to the available data) and Abstracts Views on Vision4Press platform.

Data correspond to usage on the plateform after 2015. The current usage metrics is available 48-96 hours after online publication and is updated daily on week days.

Initial download of the metrics may take a while.