Free Access

Fig. 19

image

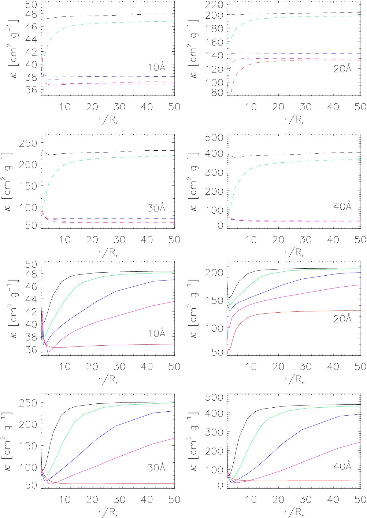
Upper four panels: radial variation of the mass absorption coefficient in dwarf models for specific values of wavelength. Black: Teff = 30 kK; green: 35 kK; blue: 40 kK; magenta: 45 kK; and red: 50 kK. All models have been calculated with = 3 × 106 K and fX = 0.03. We note the different scales for κν. Lower four panels: as above, but for supergiant models.

This figure is made of several images, please see below:

Current usage metrics show cumulative count of Article Views (full-text article views including HTML views, PDF and ePub downloads, according to the available data) and Abstracts Views on Vision4Press platform.

Data correspond to usage on the plateform after 2015. The current usage metrics is available 48-96 hours after online publication and is updated daily on week days.

Initial download of the metrics may take a while.