Free Access

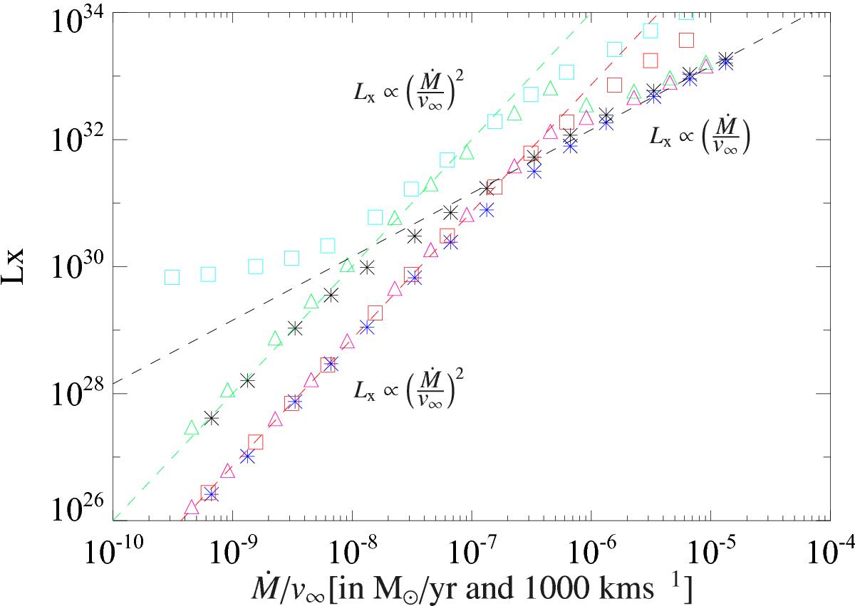
Fig. 5

image

Emergent X-ray luminosities (in erg s-1) as a function of /v. Supergiant models S30 (asterisks), S40 (triangles) and S50 (squares) with Teff = 30, 40 and 50 kK, respectively, and mass-loss rates between 10-9 and 2 × 10-5M/ yr. All models have the same X-ray properties, fx = 0.025, γx = 0.5, mx = 20, and a maximum jump-velocity, u = 400km s-1, corresponding to maximum shock temperatures of 2.3 × 106 K. We calculated the X-ray luminosities in the range 0.12.5 keV (black, green, and turquoise) and in the range 0.35 to 2.5 keV (blue, red, and magenta). The dashed lines (no fits) serve as guidelines to check the predicted behavior for optically thin (red and green) and optically thick (black) conditions. (See text.)

Current usage metrics show cumulative count of Article Views (full-text article views including HTML views, PDF and ePub downloads, according to the available data) and Abstracts Views on Vision4Press platform.

Data correspond to usage on the plateform after 2015. The current usage metrics is available 48-96 hours after online publication and is updated daily on week days.

Initial download of the metrics may take a while.