Free Access

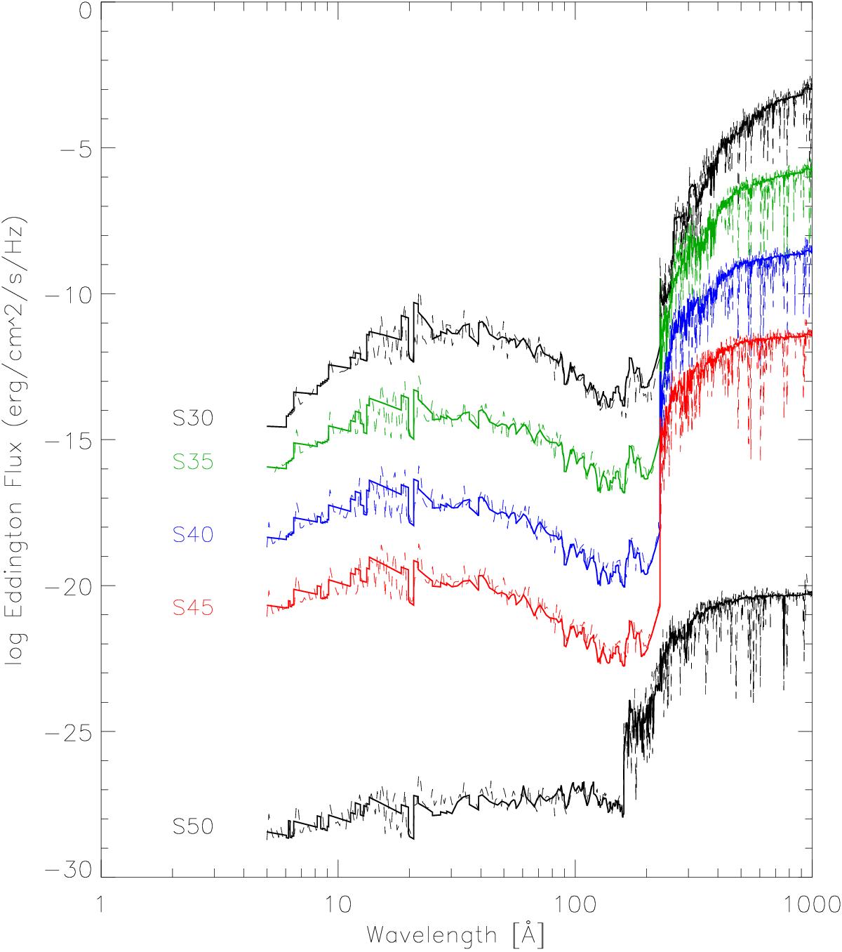
Fig. 7

image

Logarithmic Eddington fluxes as a function of wavelength for supergiant models (see Tables 1 and 2). The solid lines refer to results from our updated version of FASTWIND and the dashed lines to WM-basic results (Pauldrach et al. 1994, 2001). For clarity, the S35, S40, S45, and S50 model fluxes have been shifted by −3, −6, −9, and −18 dex, respectively.

Current usage metrics show cumulative count of Article Views (full-text article views including HTML views, PDF and ePub downloads, according to the available data) and Abstracts Views on Vision4Press platform.

Data correspond to usage on the plateform after 2015. The current usage metrics is available 48-96 hours after online publication and is updated daily on week days.

Initial download of the metrics may take a while.