Free Access

This article has an erratum: [https://doi.org/10.1051/0004-6361/201527725e]


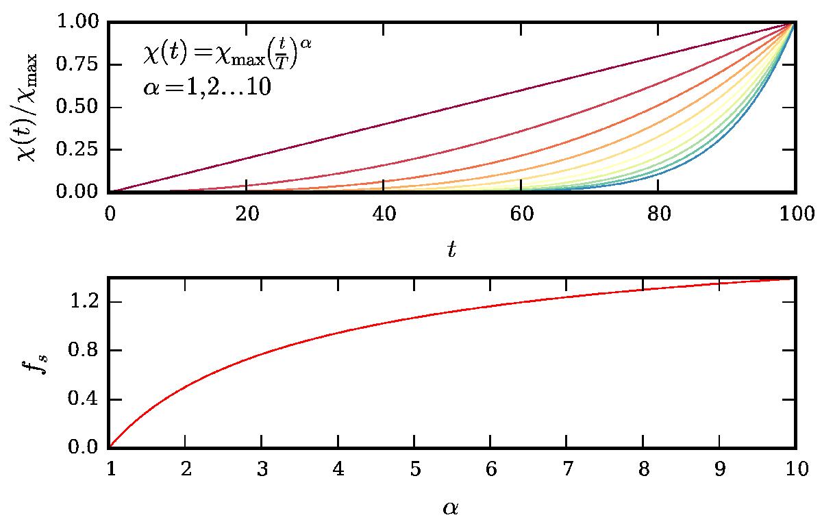
Fig. B.1

image

The upper panel shows exemplary power law curves with increasing curvature, i.e. power law index α from 1 (red) to 10 (blue). The lower panel shows the curvature factor (see text for description).

Current usage metrics show cumulative count of Article Views (full-text article views including HTML views, PDF and ePub downloads, according to the available data) and Abstracts Views on Vision4Press platform.

Data correspond to usage on the plateform after 2015. The current usage metrics is available 48-96 hours after online publication and is updated daily on week days.

Initial download of the metrics may take a while.