Free Access

This article has an erratum: [https://doi.org/10.1051/0004-6361/201527725e]


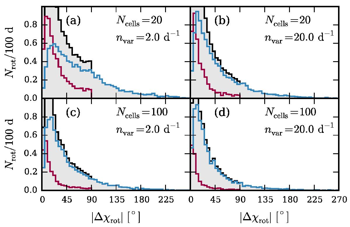
Fig. C.1

image

Distribution of the absolute amplitudes χrot| of rotations identified at 3σ-level in siQU model simulations with different cell numbers and cell variation rates. Red line: distribution of two-data-point rotations, blue line: distribution of multiple-data-point rotations, grey filled region: distribution of all rotations.

Current usage metrics show cumulative count of Article Views (full-text article views including HTML views, PDF and ePub downloads, according to the available data) and Abstracts Views on Vision4Press platform.

Data correspond to usage on the plateform after 2015. The current usage metrics is available 48-96 hours after online publication and is updated daily on week days.

Initial download of the metrics may take a while.