Free Access

Fig. 12

image

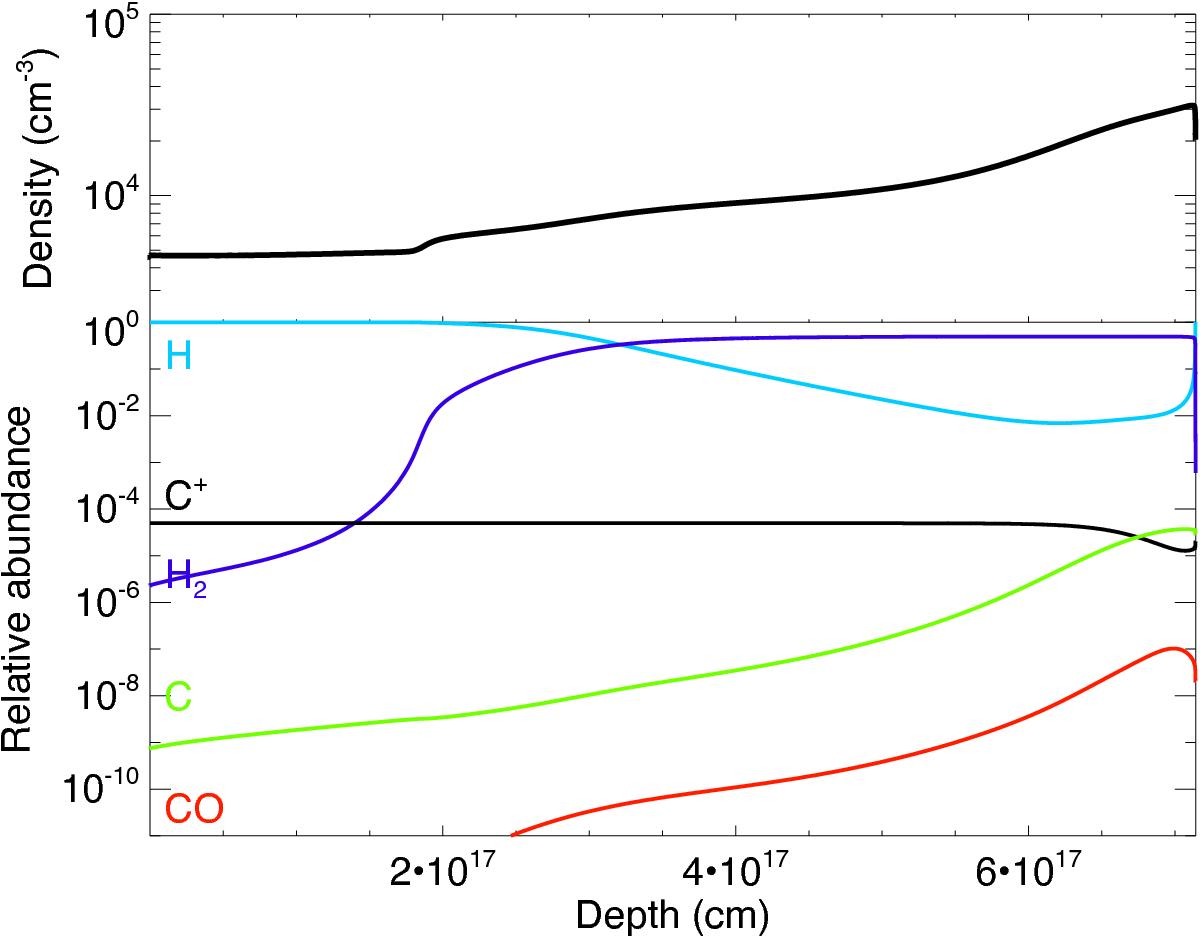
Top: density profile as a function of the depth into the cloud in a simulated cloud of = 2, P = 106 cm-3 K with GUV = 3000 on the left side and GUV= 1 on the right side. Bottom: local gas phase relative abundances of C+, C, CO, O, and H2 for the same model.

Current usage metrics show cumulative count of Article Views (full-text article views including HTML views, PDF and ePub downloads, according to the available data) and Abstracts Views on Vision4Press platform.

Data correspond to usage on the plateform after 2015. The current usage metrics is available 48-96 hours after online publication and is updated daily on week days.

Initial download of the metrics may take a while.