Free Access

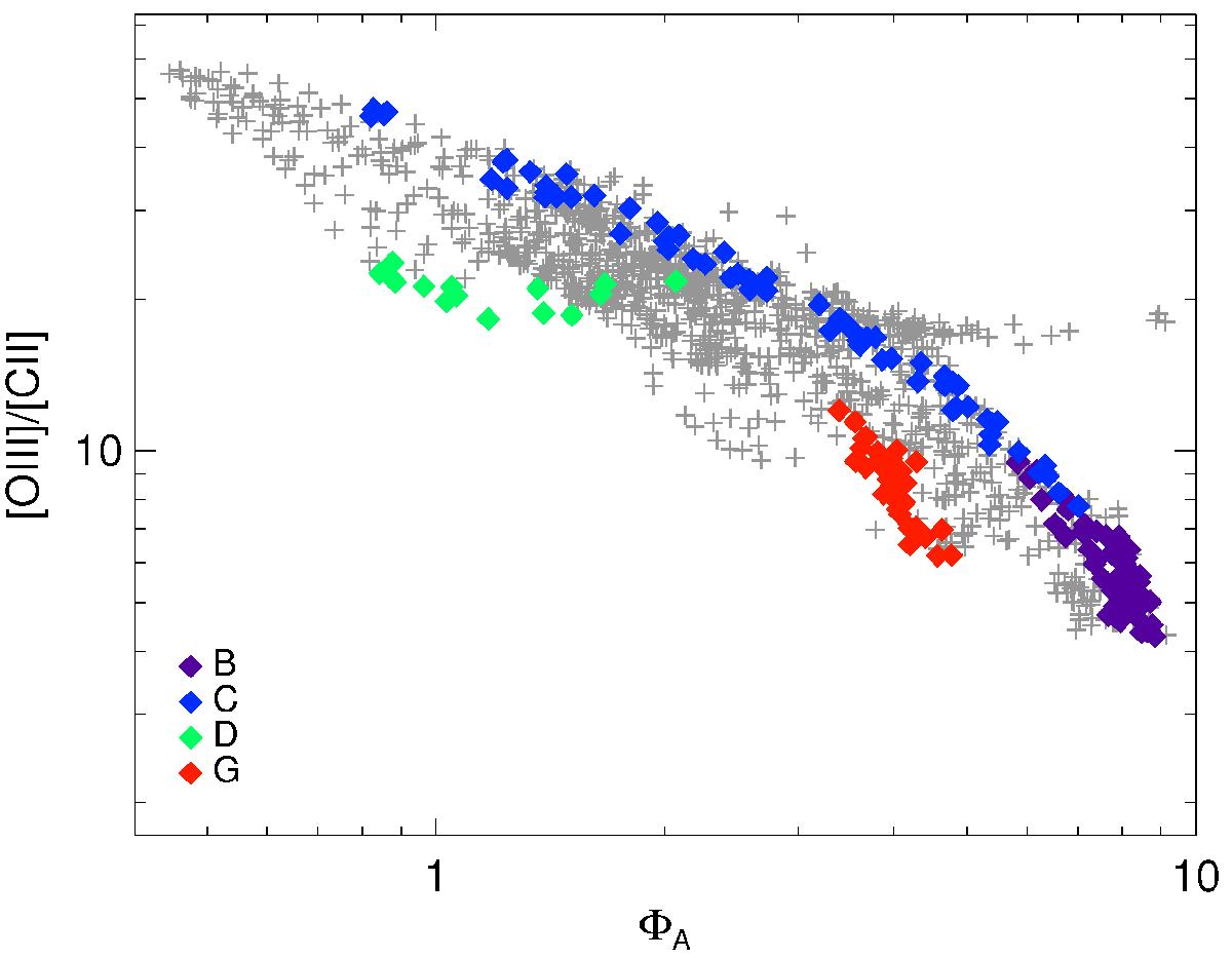
Fig. 21

image

Correlation between [O iii]/[C ii] and the PDR area filling factor. The color symbols are associated with the regions defined in Fig. 3. The gray symbols are all of the other pixels of our 30Dor map.

Current usage metrics show cumulative count of Article Views (full-text article views including HTML views, PDF and ePub downloads, according to the available data) and Abstracts Views on Vision4Press platform.

Data correspond to usage on the plateform after 2015. The current usage metrics is available 48-96 hours after online publication and is updated daily on week days.

Initial download of the metrics may take a while.