Free Access

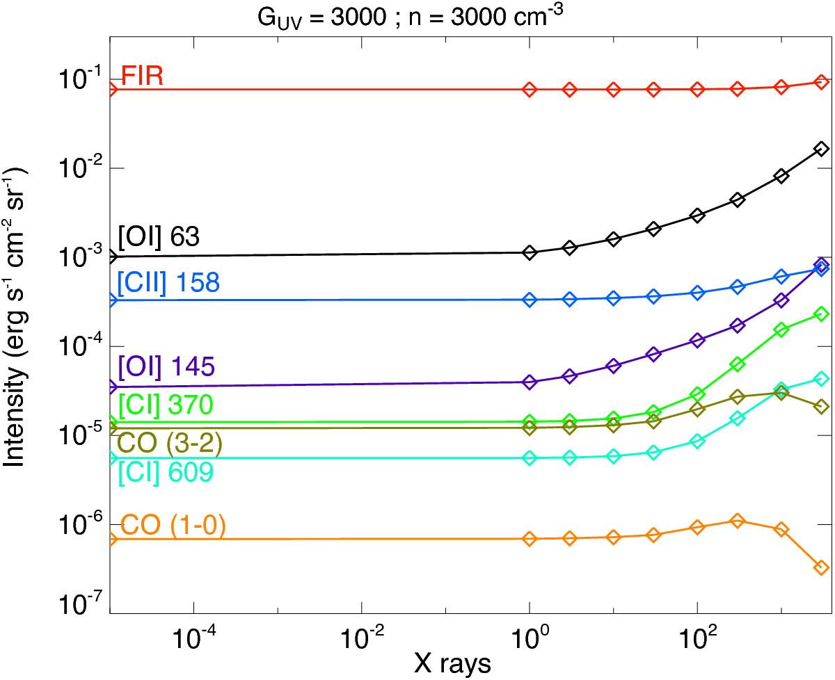
Fig. 22

image

Influence of the X-ray luminosity on the intensities of individual lines for a typical isochoric model with GUV=3 × 103 and n = 3 × 103 cm-3. GX is the X-ray luminosity integrated between 0.2 and 8 keV, given in unit of the Habing field (Habing 1968). This is to be compared with our results for GUV (see Sect. 5.5).

Current usage metrics show cumulative count of Article Views (full-text article views including HTML views, PDF and ePub downloads, according to the available data) and Abstracts Views on Vision4Press platform.

Data correspond to usage on the plateform after 2015. The current usage metrics is available 48-96 hours after online publication and is updated daily on week days.

Initial download of the metrics may take a while.