Free Access

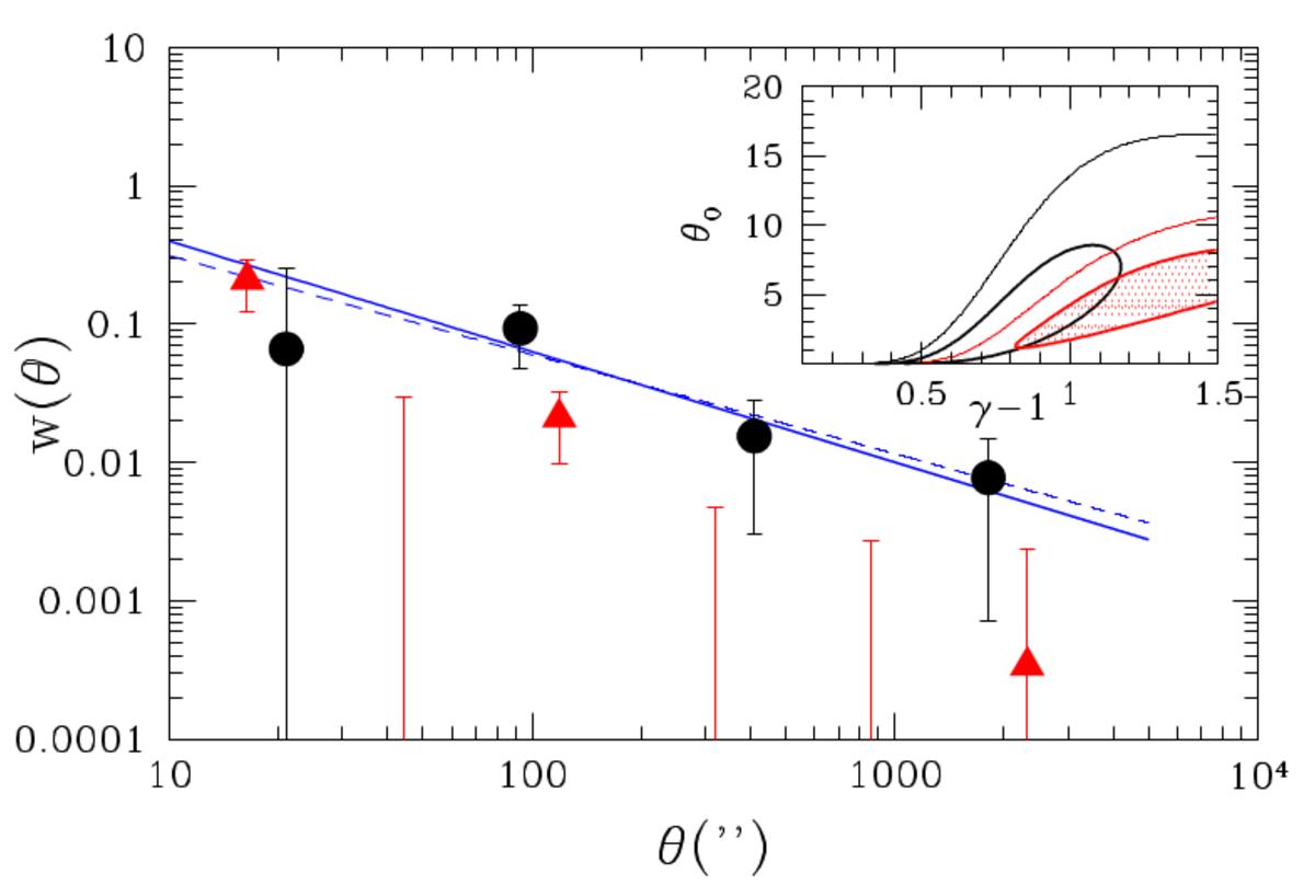
Fig. 4

image

Angular correlation function of the AEGIS field for the subsample with spectroscopic information within 0.3 <z< 1.3 (i.e. 186 sources, black filled circles) and for the complete X-ray source sample (i.e. 741 sources, red filled triangles) in the hard band. The solid line corresponds to the fixed γ = 1.8 fit, while the dashed line represents the best power-law fit. The error bars correspond to 1σ uncertainties. The inset plot presents the 1 and 3σ contours in the fitted (θ0) parameter space.

Current usage metrics show cumulative count of Article Views (full-text article views including HTML views, PDF and ePub downloads, according to the available data) and Abstracts Views on Vision4Press platform.

Data correspond to usage on the plateform after 2015. The current usage metrics is available 48-96 hours after online publication and is updated daily on week days.

Initial download of the metrics may take a while.