Highlight
Free Access

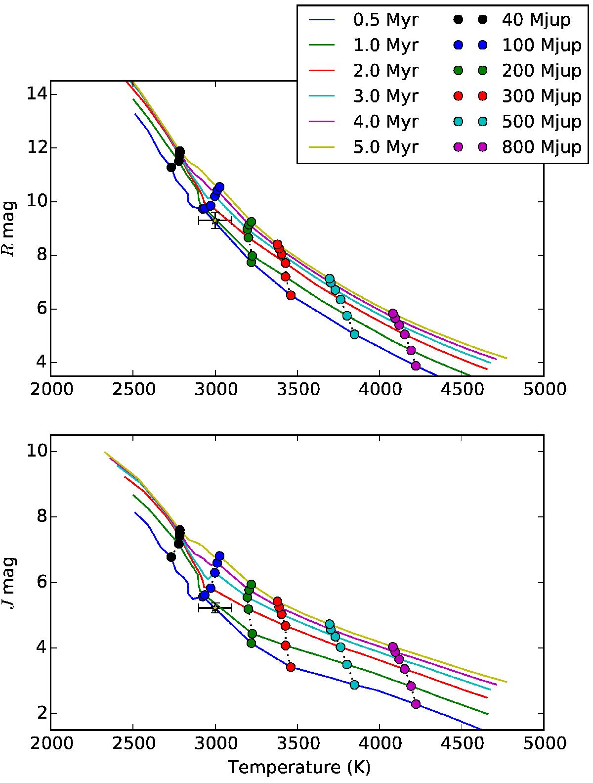
Fig. 4

image

Isocontours of masses and ages as a function of temperature and absolute magnitude, according to evolutionary models from Baraffe et al. (2015). The central asterisk correspond to HD 142527B. HD 14252A, with an effective temperature on the order of 6500 K, lies outside the plot and outside the temperature range of the model.

Current usage metrics show cumulative count of Article Views (full-text article views including HTML views, PDF and ePub downloads, according to the available data) and Abstracts Views on Vision4Press platform.

Data correspond to usage on the plateform after 2015. The current usage metrics is available 48-96 hours after online publication and is updated daily on week days.

Initial download of the metrics may take a while.