Free Access

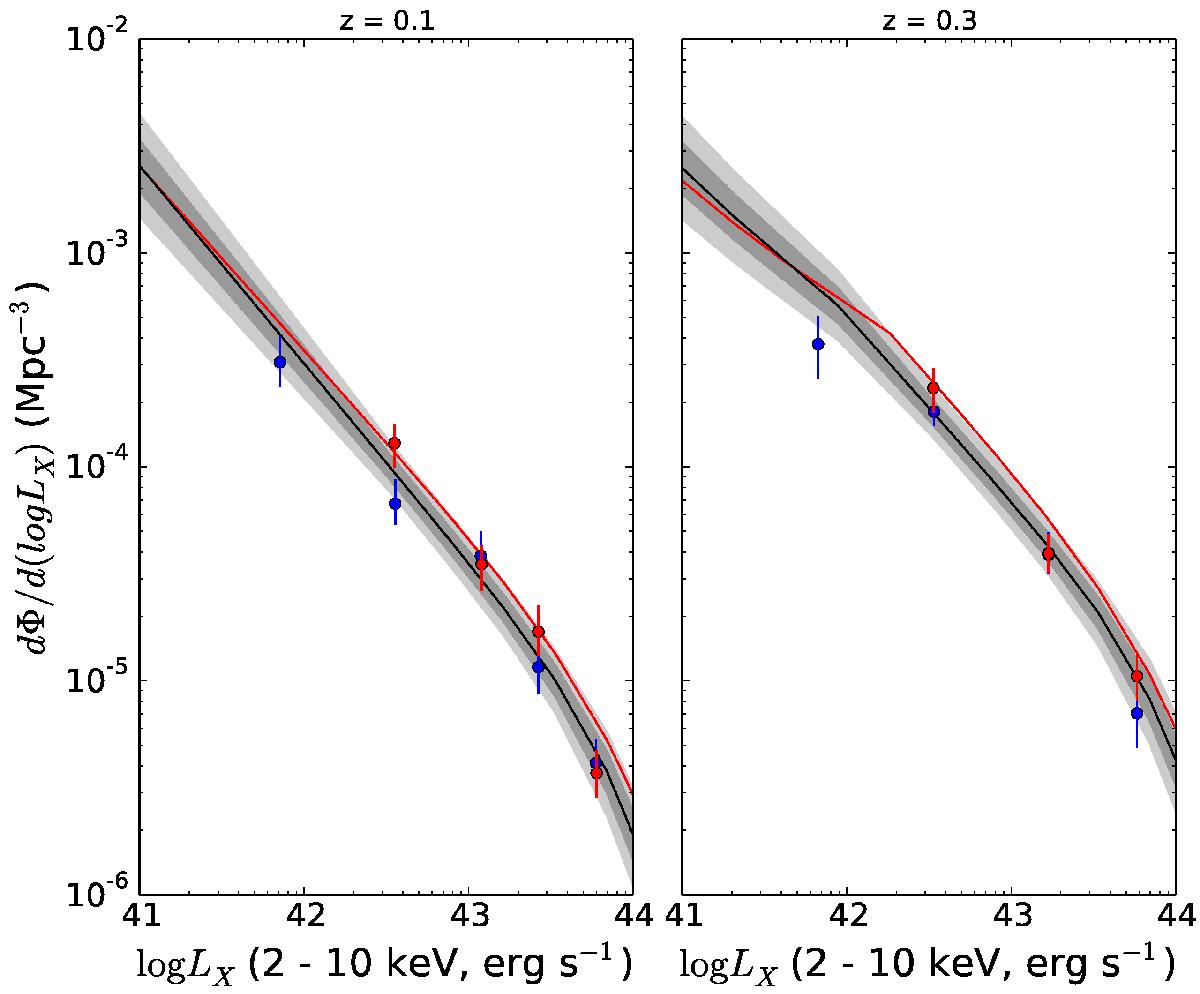
Fig. 5

image

XLF of U14 plotted at redshift z = 0.1 and z = 0.3 in the range 41 < log Lx< 44. The black line represents the best fit, grey regions show the effect of uncertainties in the parameters: dark (light) grey correspond to 1σ (2σ) region. The red line is U03 XLF. Red and blue points are taken from U14, and represent the data derived from the soft (<2 keV) and hard (>2 keV) X-ray bands respectively, converted in 2 to 10 keV luminosities as explained in U14.

Current usage metrics show cumulative count of Article Views (full-text article views including HTML views, PDF and ePub downloads, according to the available data) and Abstracts Views on Vision4Press platform.

Data correspond to usage on the plateform after 2015. The current usage metrics is available 48-96 hours after online publication and is updated daily on week days.

Initial download of the metrics may take a while.