Free Access

Fig. 9

image

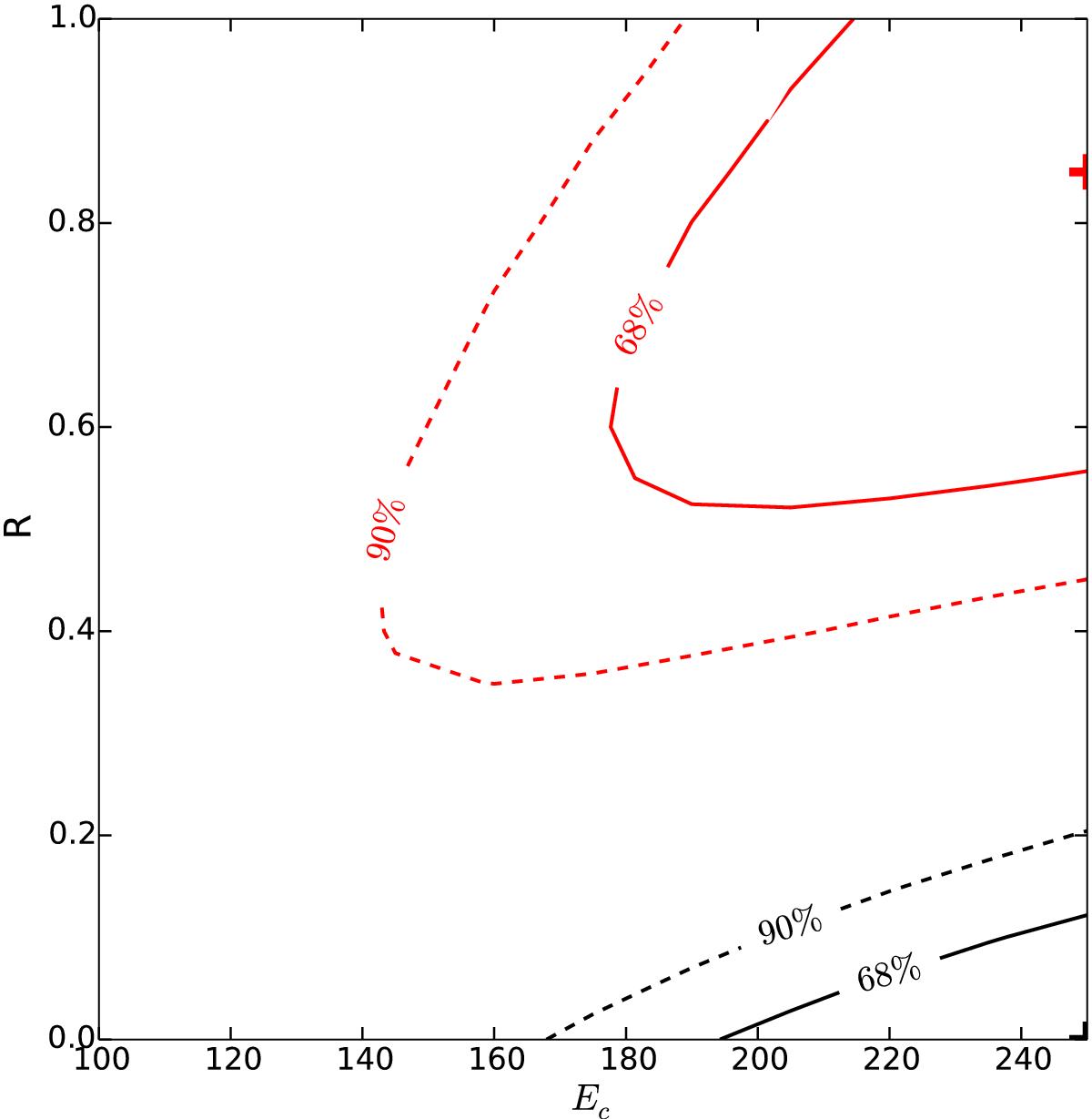
Contour plot of the χ2 as a function of Ec and R for the LOB1 (1021<NH< 1022 cm-2) spectrum (black) and the MOB (1023<NH< 1024 cm-2) spectrum (red). Continuous lines show the 1σ (68%) confidence region, dotted lines show the 90% confidence region. The crosses mark the best fit position.

Current usage metrics show cumulative count of Article Views (full-text article views including HTML views, PDF and ePub downloads, according to the available data) and Abstracts Views on Vision4Press platform.

Data correspond to usage on the plateform after 2015. The current usage metrics is available 48-96 hours after online publication and is updated daily on week days.

Initial download of the metrics may take a while.