Free Access

Fig. 1

image

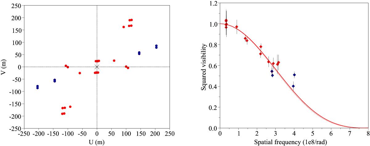
Left: (u, v) plane coverage of the VEGA observations of HD 24712 in the R and (red circles) and in the V band (blue circles). Right: squared visibility versus spatial frequency for HD 24712 obtained with the VEGA observations (diamonds) in the R band (red) and in the V band (blue) and best uniform-disk model provided by LITPRO for all the data points in the R band (case 1 – thick line) and for the whole data set (case 2 – thin line).

This figure is made of several images, please see below:

Current usage metrics show cumulative count of Article Views (full-text article views including HTML views, PDF and ePub downloads, according to the available data) and Abstracts Views on Vision4Press platform.

Data correspond to usage on the plateform after 2015. The current usage metrics is available 48-96 hours after online publication and is updated daily on week days.

Initial download of the metrics may take a while.