Free Access

Fig. 3

image

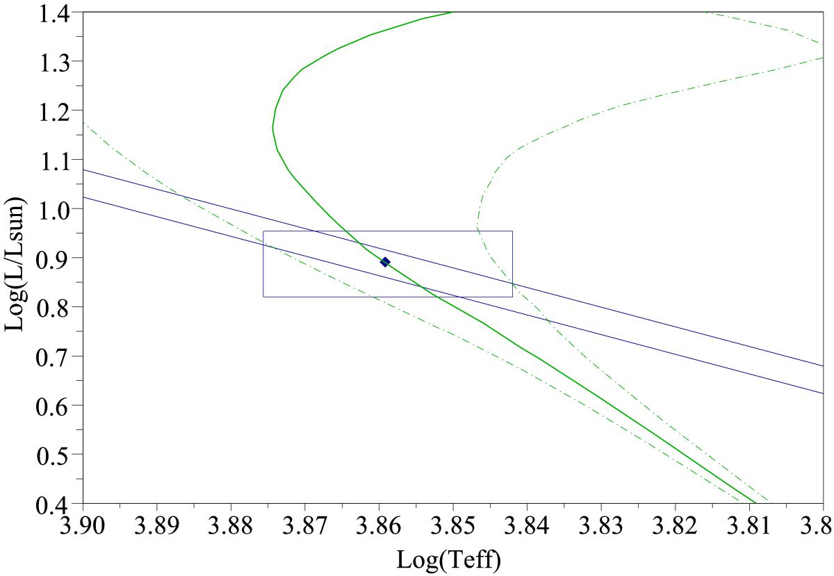
Position of HD 24712 in the Hertzsprung-Russell diagram. The constraints on the fundamental parameters are indicated by the 1σ-error box (log (Teff, log (L/L)) and the diagonal lines (radius). Evolutionary tracks are overplotted as green lines for Z = 0.019 and Y = 0.282, and ages of 1.08 Gyr (solid line), 0.8 Gyr, and 1.42 Gyr (dash-dotted lines).

Current usage metrics show cumulative count of Article Views (full-text article views including HTML views, PDF and ePub downloads, according to the available data) and Abstracts Views on Vision4Press platform.

Data correspond to usage on the plateform after 2015. The current usage metrics is available 48-96 hours after online publication and is updated daily on week days.

Initial download of the metrics may take a while.