Free Access

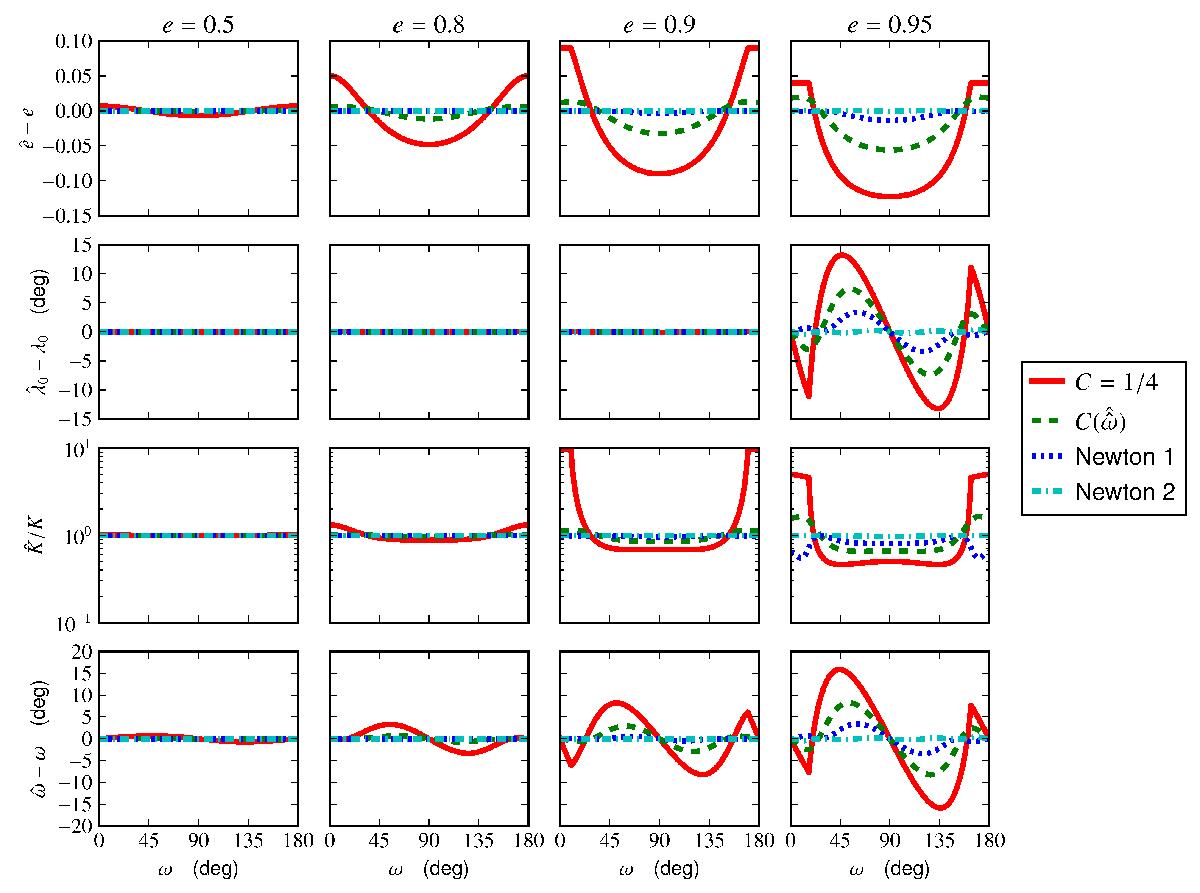
Fig. 1

image

Comparison between our analytical estimates (see Eqs. (24), (25), (33), (34)) and the expected values of the eccentricity (e), the mean longitude at the reference time (λ = M0 + ω), the semi-amplitude K, and the argument of periastron (ω) (from top to bottom), as a function of ω and for e = 0.5, 0.8, 0.9, 0.95 (from left to right). We show the errors obtained on the parameters using the approximations C = 1/4, and (see Sect. 3.2). For the approximation , we also show the errors after one and two iterations of the Newton-Raphson correcting algorithm (see Sect. 3.4).

Current usage metrics show cumulative count of Article Views (full-text article views including HTML views, PDF and ePub downloads, according to the available data) and Abstracts Views on Vision4Press platform.

Data correspond to usage on the plateform after 2015. The current usage metrics is available 48-96 hours after online publication and is updated daily on week days.

Initial download of the metrics may take a while.