Free Access

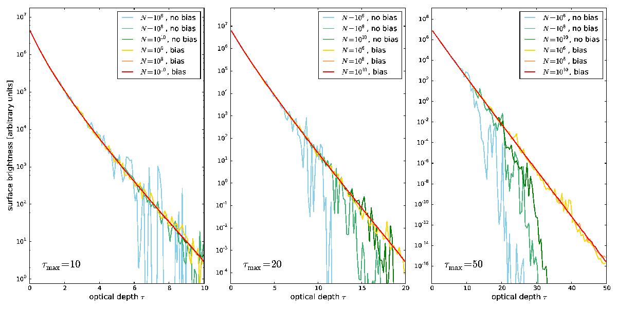
Fig. 5

image

Vertical surface brightness profiles of the simple pillar model described in Sect. 4.5. The three panels correspond to three different values of the total optical depth through the pillar. The horizontal axis indicates the depth through the pillar, measured from the top where the radiation enters. The different lines in each panel correspond to models with a different number of photon packages (ranging from 106 to 1010) and with and without the application of composite path length stretching.

Current usage metrics show cumulative count of Article Views (full-text article views including HTML views, PDF and ePub downloads, according to the available data) and Abstracts Views on Vision4Press platform.

Data correspond to usage on the plateform after 2015. The current usage metrics is available 48-96 hours after online publication and is updated daily on week days.

Initial download of the metrics may take a while.