Free Access

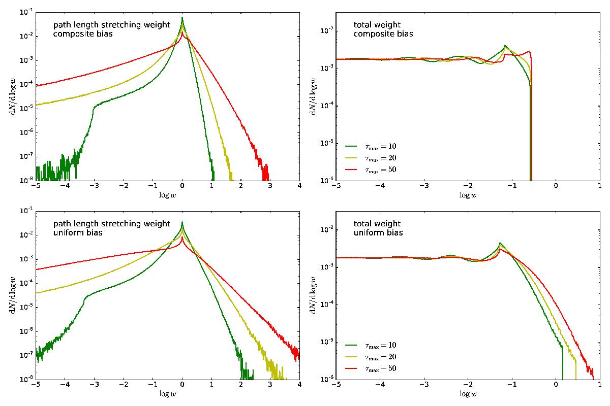
Fig. 6

image

Distribution of the cumulative weight factor of all photon packages in the pillar simulations described in Sect. 4.5. The panels in the left column correspond to the cumulative weight factor contribution only due to multiple applications of path length stretching. The panels on the right correspond to the total weight factor, i.e. also including the contribution from other events that alter the weight of a photon package. The top row shows the results of simulations with the composite biasing scheme Eq. (29), the bottom panels correspond to the uniform biasing scheme Eq. (26).

Current usage metrics show cumulative count of Article Views (full-text article views including HTML views, PDF and ePub downloads, according to the available data) and Abstracts Views on Vision4Press platform.

Data correspond to usage on the plateform after 2015. The current usage metrics is available 48-96 hours after online publication and is updated daily on week days.

Initial download of the metrics may take a while.