Free Access

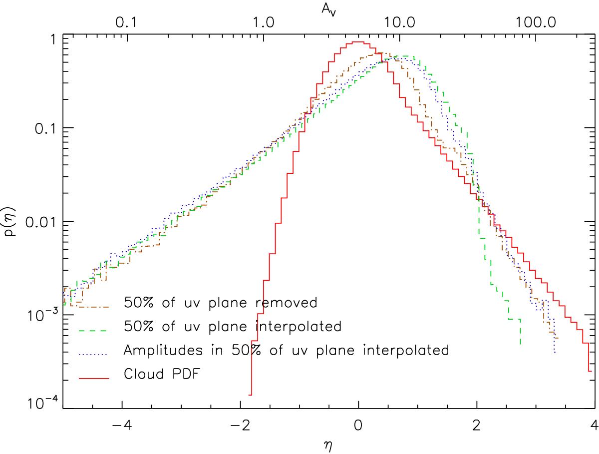
Fig. 22

image

Result of incomplete sampling in the uv-plane. PDFs are obtained after removing the information for half of the points randomly selected in the uv-plane. We replaced the Fourier coefficients either by zeros, by values interpolated between the retained neighboring points or by interpolated amplitudes and random phases.

Current usage metrics show cumulative count of Article Views (full-text article views including HTML views, PDF and ePub downloads, according to the available data) and Abstracts Views on Vision4Press platform.

Data correspond to usage on the plateform after 2015. The current usage metrics is available 48-96 hours after online publication and is updated daily on week days.

Initial download of the metrics may take a while.