Free Access

Fig. 24

image

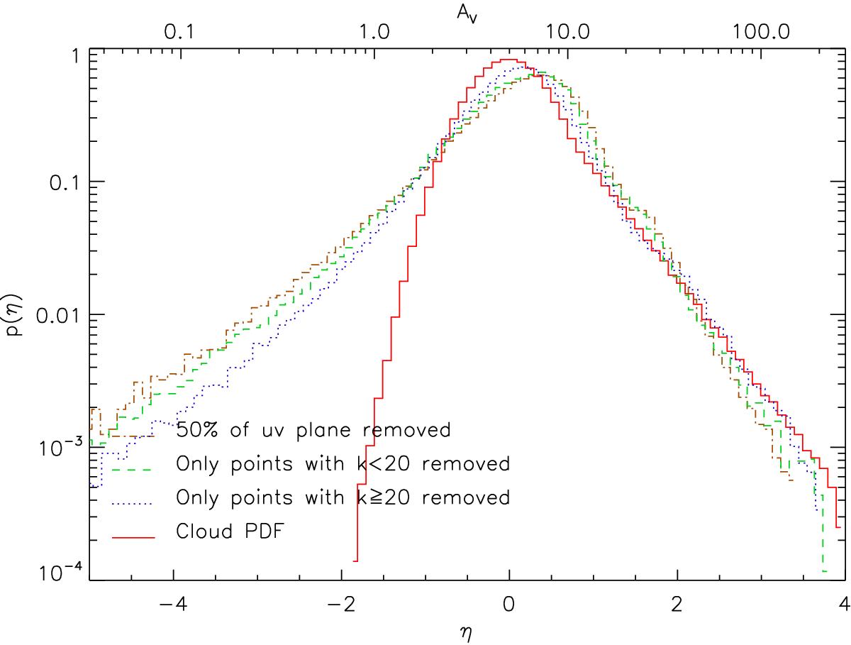
PDFs from an incomplete sampling of the uv-plane depending on the wavenumber. The brown dashed-dotted line shows the result when randomly replacing 50% of the uv-plane by zeros, as shown already in Fig. 22. The other two PDFs are computed when removing those points only inside or outside of a circle of 20 wavenumbers.

Current usage metrics show cumulative count of Article Views (full-text article views including HTML views, PDF and ePub downloads, according to the available data) and Abstracts Views on Vision4Press platform.

Data correspond to usage on the plateform after 2015. The current usage metrics is available 48-96 hours after online publication and is updated daily on week days.

Initial download of the metrics may take a while.