Free Access

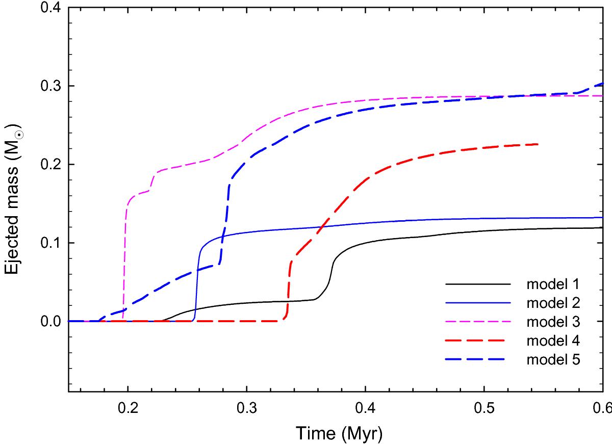
Fig. 8

image

Mass of gas that leaves the outer computational boundary in Models 1–5 as a function of time elapsed since the formation of the disk. Steep rises in the outflown mass are caused by dense fragments passing through the outer boundary after being ejected from the disk.

Current usage metrics show cumulative count of Article Views (full-text article views including HTML views, PDF and ePub downloads, according to the available data) and Abstracts Views on Vision4Press platform.

Data correspond to usage on the plateform after 2015. The current usage metrics is available 48-96 hours after online publication and is updated daily on week days.

Initial download of the metrics may take a while.