Free Access

Fig. 16

image

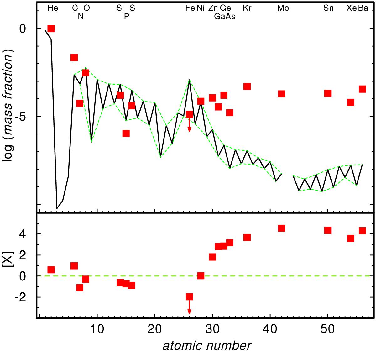
Solar abundances (Asplund et al. 2009; Scott et al. 2015b,a; Grevesse et al. 2015, thick line; the dashed lines connect the elements with even and odd atomic numbers) compared with the determined photospheric abundances of RE 0503−289 (red squares, Dreizler & Werner 1996; Rauch et al. 2014a,b, 2015, 2012, 2016, and this work). The uncertainties of the WD abundances are about 0.2 dex, in general. For Fe, the arrow indicates the upper limit. Top panel: abundances given as logarithmic mass fractions. Bottom panel: abundance ratios to respective solar values, [X] denotes log (fraction/solar fraction) of species X. The dashed, green line indicates solar abundances.

Current usage metrics show cumulative count of Article Views (full-text article views including HTML views, PDF and ePub downloads, according to the available data) and Abstracts Views on Vision4Press platform.

Data correspond to usage on the plateform after 2015. The current usage metrics is available 48-96 hours after online publication and is updated daily on week days.

Initial download of the metrics may take a while.