Free Access

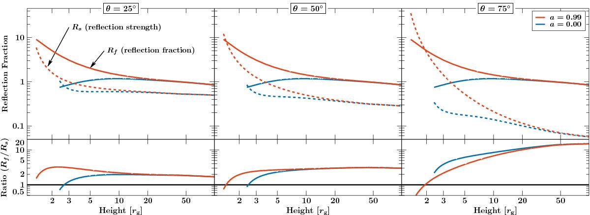
Fig. 3

image

Comparison of the reflection fraction Rf (solid lines) and the reflection strength Rs (dashed lines) for increasing lamp post geometry (from left to right) and two values of spin, a = 0 (blue curves) and a = 0.99 (red curves). The ratio of Rf to Rs is shown in the lower panels.

Current usage metrics show cumulative count of Article Views (full-text article views including HTML views, PDF and ePub downloads, according to the available data) and Abstracts Views on Vision4Press platform.

Data correspond to usage on the plateform after 2015. The current usage metrics is available 48-96 hours after online publication and is updated daily on week days.

Initial download of the metrics may take a while.