Free Access

Fig. 12

image

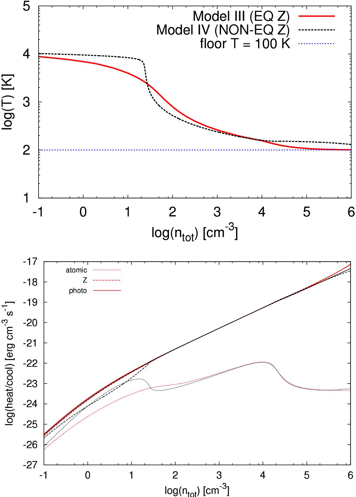
Top: thermal evolution for Model III (red) and Model IV (black) as a function of the total number density. Bottom: main cooling/heating functions for the two models. Red curves refer to Model III and black curves to Model IV. The different contributions reported in the figure are the following: atomic cooling (dotted lines), metal cooling (dashed lines), and photo-heating (solid lines).

This figure is made of several images, please see below:

Current usage metrics show cumulative count of Article Views (full-text article views including HTML views, PDF and ePub downloads, according to the available data) and Abstracts Views on Vision4Press platform.

Data correspond to usage on the plateform after 2015. The current usage metrics is available 48-96 hours after online publication and is updated daily on week days.

Initial download of the metrics may take a while.