Free Access

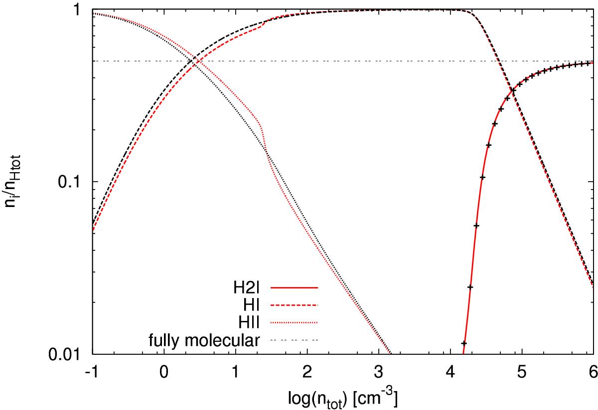
Fig. 13

image

Chemical evolution of H2, H+, and H as a function of the total number density for Model III, which employs the equilibrium metal cooling at all temperatures (red curves), and Model IV, which employs the non-equlibrium metal cooling for temperature T< 104 K (black curves and crosses). The effect of non-equilibrium cooling on the H2 evolution is negligible and produces the same results as the equilibrium cooling model (crosses). A horizontal line at ni/nHtot = 0.5 is sketched to represent the fully molecular stage.

Current usage metrics show cumulative count of Article Views (full-text article views including HTML views, PDF and ePub downloads, according to the available data) and Abstracts Views on Vision4Press platform.

Data correspond to usage on the plateform after 2015. The current usage metrics is available 48-96 hours after online publication and is updated daily on week days.

Initial download of the metrics may take a while.