Free Access

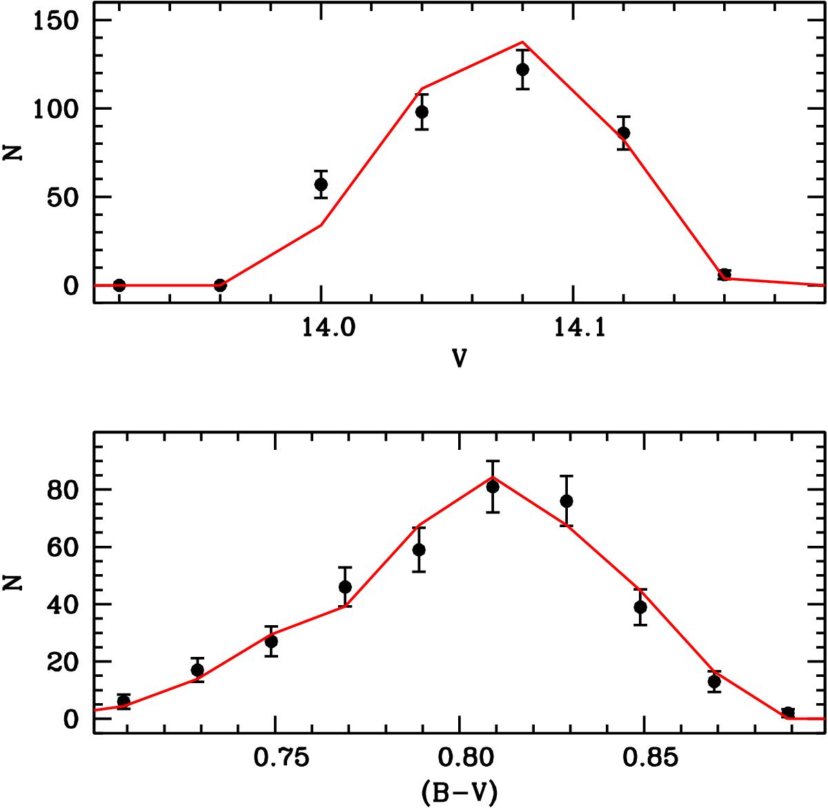
Fig. 3

image

Comparisons of synthetic (solid line) and observed (filled circles) star counts with Poisson error bars in V-magnitude (top panel: bin size equal to 0.04 mag) and (BV) colour (bottom panel: bin size equal to 0.02 mag) bins, obtained from the data in Fig. 2 (see text for details).

Current usage metrics show cumulative count of Article Views (full-text article views including HTML views, PDF and ePub downloads, according to the available data) and Abstracts Views on Vision4Press platform.

Data correspond to usage on the plateform after 2015. The current usage metrics is available 48-96 hours after online publication and is updated daily on week days.

Initial download of the metrics may take a while.