Free Access

Fig. 10

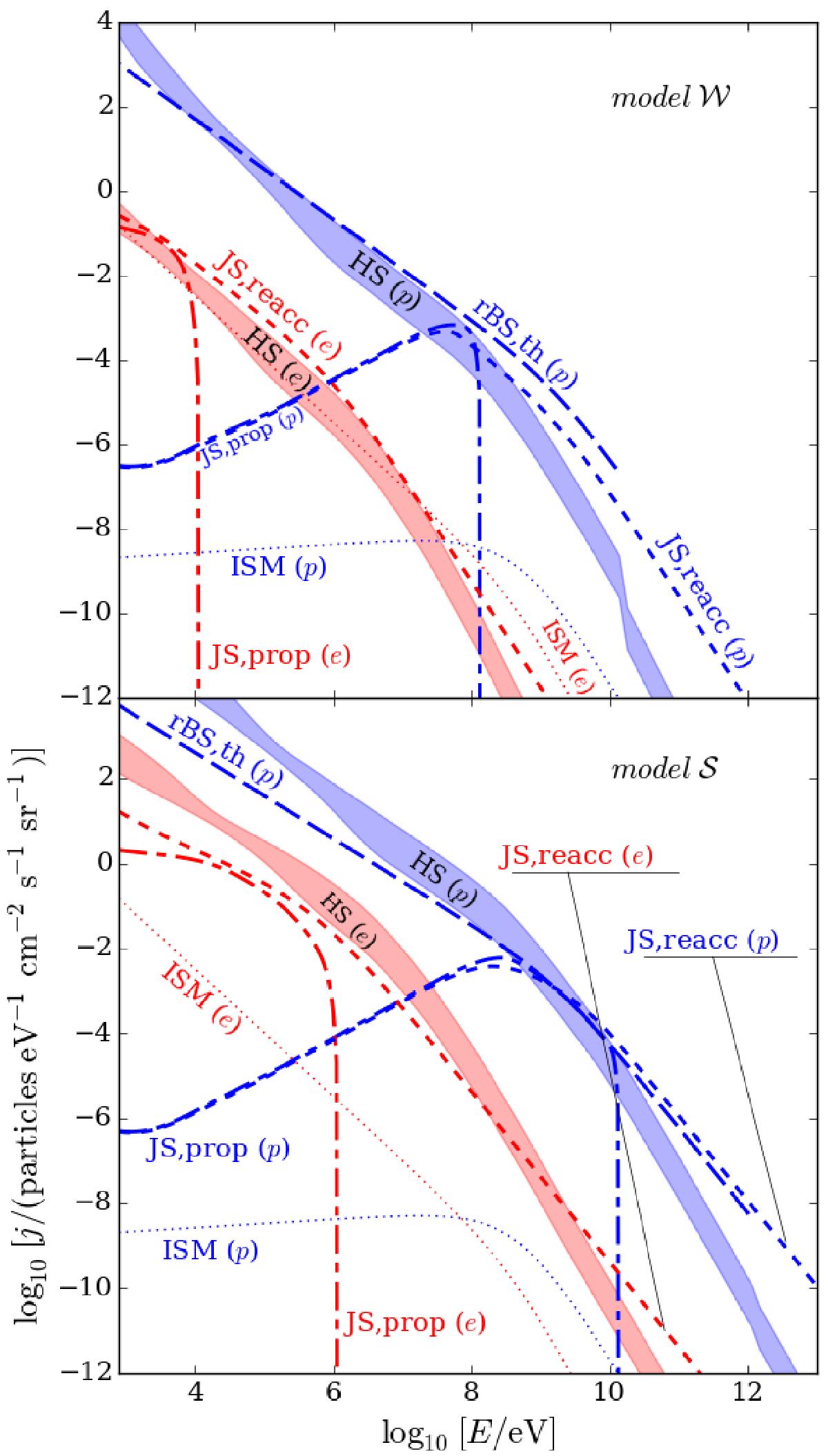
image

Spectra of accelerated protons (blue) and secondary electrons (red) for model and (upper and lower panel, respectively), and a rBS at 1.8 × 103 AU. Both panels show the spectra of the CRs accelerated at the jet shock at 100 AU and propagated up to the rBS (JS, prop; dash-dotted lines), the spectra after re-acceleration at the rBS (JS, reacc; short-dashed lines), the spectrum of the accelerated CR protons at the rBS (rBS, th; long-dashed line), the spectra in the hot spot region (HS; shaded regions), and the interstellar CR proton and electron spectra (ISM; dotted lines).

Current usage metrics show cumulative count of Article Views (full-text article views including HTML views, PDF and ePub downloads, according to the available data) and Abstracts Views on Vision4Press platform.

Data correspond to usage on the plateform after 2015. The current usage metrics is available 48-96 hours after online publication and is updated daily on week days.

Initial download of the metrics may take a while.