Free Access

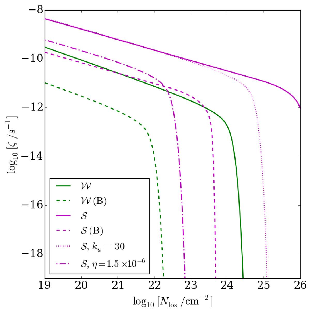
Fig. 11

image

Ionisation rate at the shock surface in a jet as a function of the molecular hydrogen column density for models and described in the main text in the case of a parallel shock. Solid and dashed lines show the values of ζ neglecting and accounting for gyromotion effects, respectively. The dotted line displays ζ for model when the upstream diffusion coefficient is 30 times higher than the Bohm coefficient, without including any further attenuation due to gyromotion. The dash-dotted line shows ζ for model with η reduced by a factor of about ten with respect to the value in Table 2.

Current usage metrics show cumulative count of Article Views (full-text article views including HTML views, PDF and ePub downloads, according to the available data) and Abstracts Views on Vision4Press platform.

Data correspond to usage on the plateform after 2015. The current usage metrics is available 48-96 hours after online publication and is updated daily on week days.

Initial download of the metrics may take a while.