Free Access

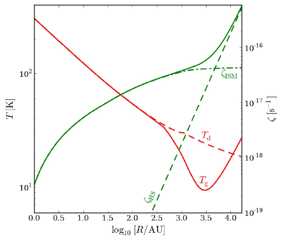
Fig. 14

image

Dust and gas temperature (solid and dashed red lines, respectively) as a function of the distance from the protostar L1157. The plot also shows the ionisation rate of interstellar CRs (dash-dotted green line), of CRs coming from the hot spot (dashed green line), and the total value (solid green line).

Current usage metrics show cumulative count of Article Views (full-text article views including HTML views, PDF and ePub downloads, according to the available data) and Abstracts Views on Vision4Press platform.

Data correspond to usage on the plateform after 2015. The current usage metrics is available 48-96 hours after online publication and is updated daily on week days.

Initial download of the metrics may take a while.