Free Access

Fig. 2

image

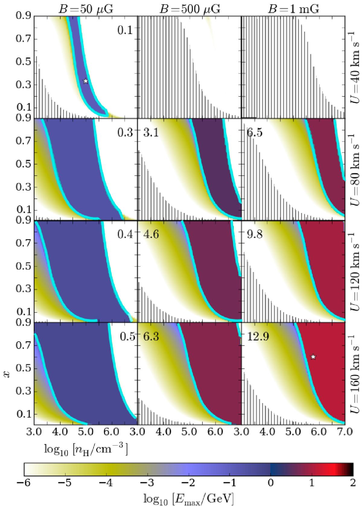
Case of a parallel shock in jets: ionisation fraction, x, versus total hydrogen density, nH, for different combinations of initial parameters. The magnetic field strength varies from 50 μG to 1 mG (from left to right), while the shock velocity varies from 40 to 160 km s-1 (from top to bottom). The temperature is assumed equal to 104 K and the shock distance from the protostar and its transverse radius are Rsh = 100 AU and R = 10 AU, respectively. The colour map shows the values of Emax in the case of a parallel shock when the conditions imposed by Eqs. (4) and (18) are simultaneously satisfied. Cyan contours delimit the regions where Emax reaches its maximum asymptotic value shown in GeV in each subplot. Vertically hatched regions refer to combinations of parameters corresponding to strong wave damping (R< 1). The two solid white stars in the upper left and lower right plots show the values of nH and x considered for the evaluation of the emerging spectra (models and in Fig. 4).

Current usage metrics show cumulative count of Article Views (full-text article views including HTML views, PDF and ePub downloads, according to the available data) and Abstracts Views on Vision4Press platform.

Data correspond to usage on the plateform after 2015. The current usage metrics is available 48-96 hours after online publication and is updated daily on week days.

Initial download of the metrics may take a while.