Free Access

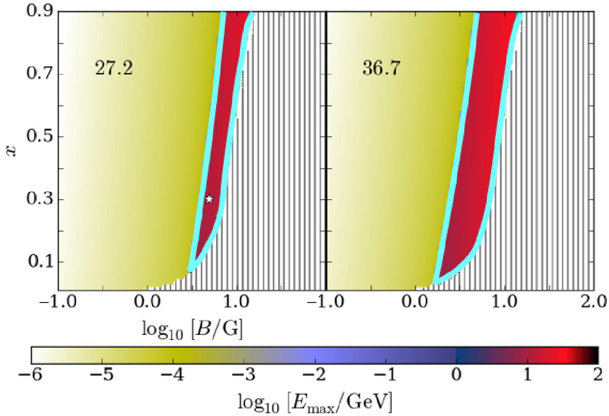
Fig. 3

image

Case of parallel (left) and perpendicular (right) shocks on protostellar surfaces: ionisation fraction, x, versus magnetic field strength, B, for the parameters specified in the third line of Table 1 (Rsh = 2 × 10-2 AU). The colour map shows the values of Emax when the conditions imposed by Eqs. (4) and (18) are simultaneously verified. The cyan contour delimits the region where Emax gets its maximum asymptotic value shown in GeV in each subplot. Vertically hatched regions refer to combinations of parameters corresponding to strong wave damping (R< 1). The solid white star in the left panel shows the values of B and x considered for the evaluation of the emerging spectrum (models in Fig. 4).

Current usage metrics show cumulative count of Article Views (full-text article views including HTML views, PDF and ePub downloads, according to the available data) and Abstracts Views on Vision4Press platform.

Data correspond to usage on the plateform after 2015. The current usage metrics is available 48-96 hours after online publication and is updated daily on week days.

Initial download of the metrics may take a while.