Free Access

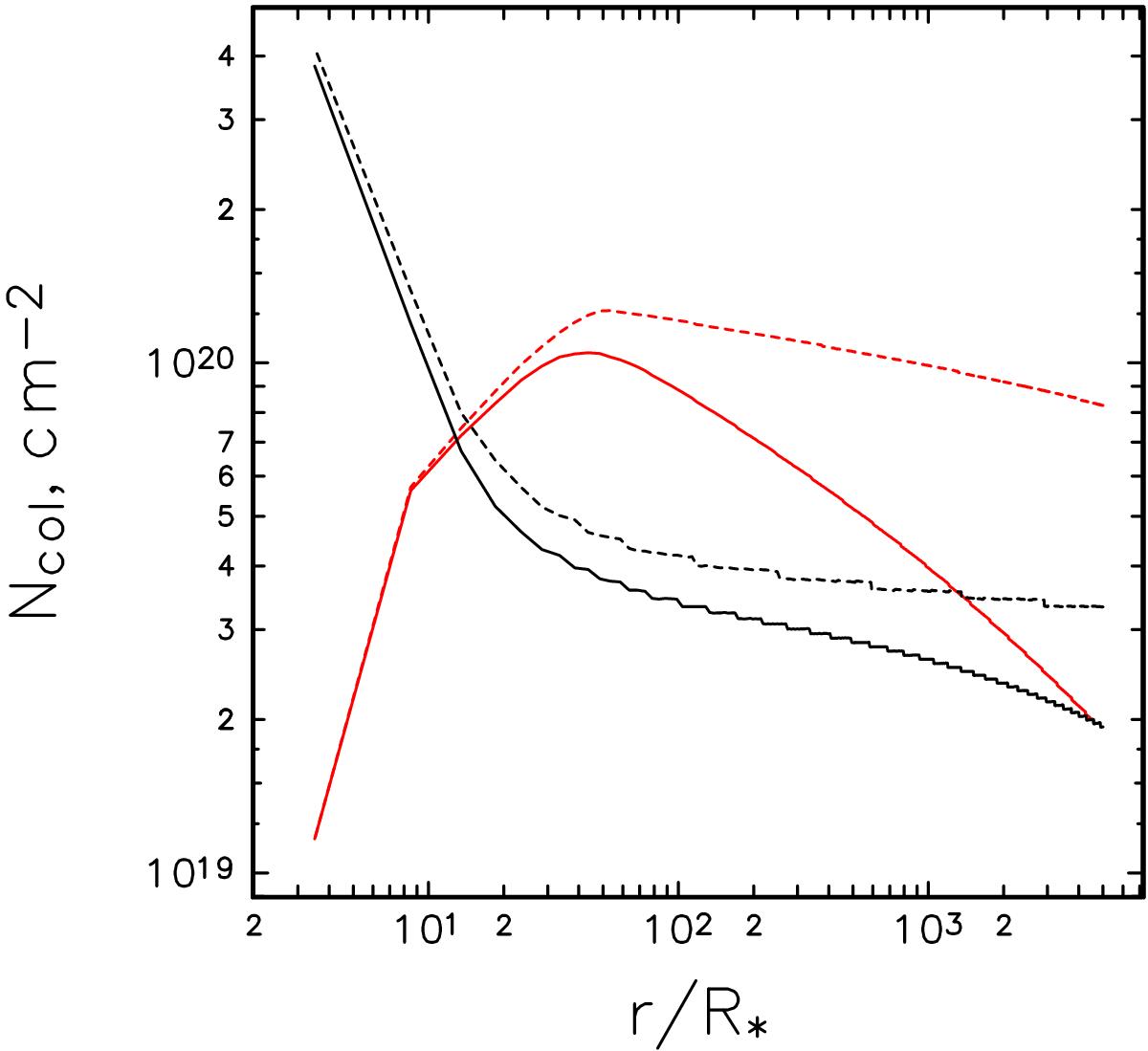
Fig. 5

image

Column gas density in the disk wind between the star and an arbitrary point on the disk surface. Here we used our disk wind models for the Herbig Ae star HD 163296 (MWC 275; black lines) and Herbig Be star HD 98922 (red lines; see text). The disk is flared with p = 9/8 (dashed lines) and p = 5/4 (solid lines).

Current usage metrics show cumulative count of Article Views (full-text article views including HTML views, PDF and ePub downloads, according to the available data) and Abstracts Views on Vision4Press platform.

Data correspond to usage on the plateform after 2015. The current usage metrics is available 48-96 hours after online publication and is updated daily on week days.

Initial download of the metrics may take a while.