Free Access

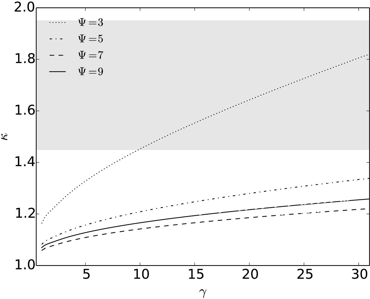
Fig. 7

image

Global anisotropy parameter κ = 2Kr/KT for selected values of the parameter Ψ. The grey area indicates the region of the threshold for the onset of the radial orbit instability.

Current usage metrics show cumulative count of Article Views (full-text article views including HTML views, PDF and ePub downloads, according to the available data) and Abstracts Views on Vision4Press platform.

Data correspond to usage on the plateform after 2015. The current usage metrics is available 48-96 hours after online publication and is updated daily on week days.

Initial download of the metrics may take a while.