Free Access

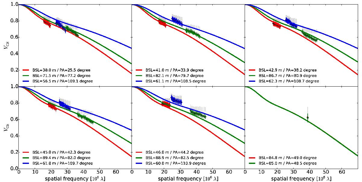
Fig. 3

image

Two-dimensional fit (colored lines) of a geometric model consisting of an inclined ring and a halo (see Table 2: inclined ring + elongated halo). The fitting included all derived K-band visibilities VCS (colored data points) of the circumstellar environment (i.e., exclusive of the central star; Eq. (1)), in other words, we fitted this two-dimensional ring + elongated halo model to all visibilities instead of fitting one-dimensional visibility models to the visibilities corresponding to a single PA. In gray we plot the visibility data Vmeas. All except the bottom right panel show the AMBER observations. The bottom right panel shows the KI measurement from Monnier et al. (2005). The two KI measurements are close together in position angle and baseline length and lie on top of each other and of the model curves.

Current usage metrics show cumulative count of Article Views (full-text article views including HTML views, PDF and ePub downloads, according to the available data) and Abstracts Views on Vision4Press platform.

Data correspond to usage on the plateform after 2015. The current usage metrics is available 48-96 hours after online publication and is updated daily on week days.

Initial download of the metrics may take a while.