Free Access

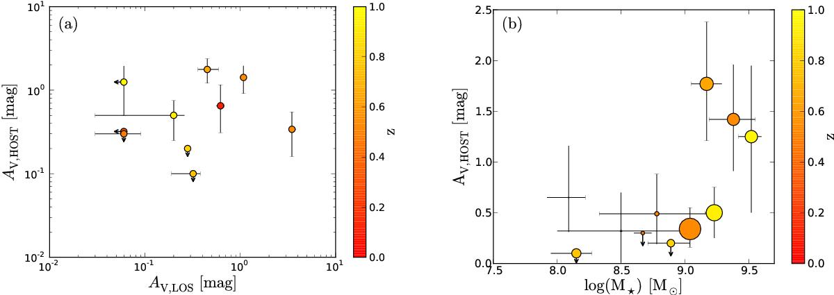
Fig. 7

image

a) Host-averaged extinction, measured from Balmer lines (e.g. Table 2) compared to line-of-sight extinction (Covino et al. 2013). Colour-coding corresponds to redshift. b) Observed relation between stellar mass and host-averaged extinction. Circle sizes for the hosts are proportional to the values of their star formation rates.

Current usage metrics show cumulative count of Article Views (full-text article views including HTML views, PDF and ePub downloads, according to the available data) and Abstracts Views on Vision4Press platform.

Data correspond to usage on the plateform after 2015. The current usage metrics is available 48-96 hours after online publication and is updated daily on week days.

Initial download of the metrics may take a while.