Free Access

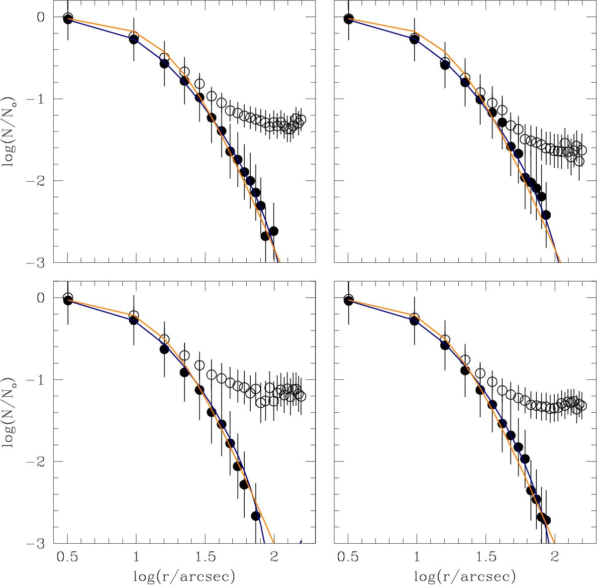
Fig. 7

image

Stellar density cluster profiles obtained from star counts for LW 477 (upper left), LW 483 (upper right), KMHK 1751 (bottom left) and KMHK 1754 (bottom right). Open and filled circles refer to measured and background subtracted surface brightness profiles, respectively. Blue and orange solid lines depict the fitted King and Plummer curves, respectively.

Current usage metrics show cumulative count of Article Views (full-text article views including HTML views, PDF and ePub downloads, according to the available data) and Abstracts Views on Vision4Press platform.

Data correspond to usage on the plateform after 2015. The current usage metrics is available 48-96 hours after online publication and is updated daily on week days.

Initial download of the metrics may take a while.