Free Access

Fig. 2

image

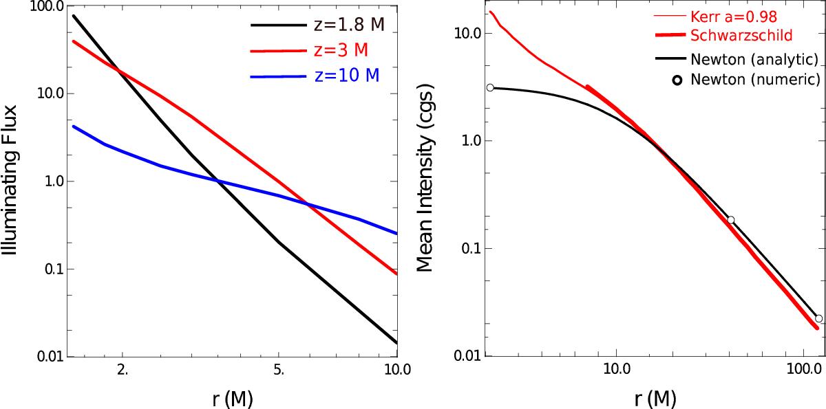
Left: illuminating flux, ℱ(r), as defined in Eq. (4) for a spectral index α = 1 and three different altitudes of the lamp, z = 1.8 M (magenta), z = 3 M (red), and z = 10 M (blue). Radius is in M units and flux in arbitrary units. This figure is extremely similar to Fig. 2, lower panel, of Dauser et al. (2013). Right: illuminating mean intensity in cgs units, ℐ(r), computed in a Newtonian spacetime (solid black and circles), a Schwarzschild spacetime (thick red) and a Kerr spacetime with spin parameter a = 0.98 (thin red). The black circles are Newtonian illuminating fluxes as computed by GYOTO, while the solid black line is the analytical expression of the Newtonian mean intensity.

This figure is made of several images, please see below:

Current usage metrics show cumulative count of Article Views (full-text article views including HTML views, PDF and ePub downloads, according to the available data) and Abstracts Views on Vision4Press platform.

Data correspond to usage on the plateform after 2015. The current usage metrics is available 48-96 hours after online publication and is updated daily on week days.

Initial download of the metrics may take a while.