Free Access

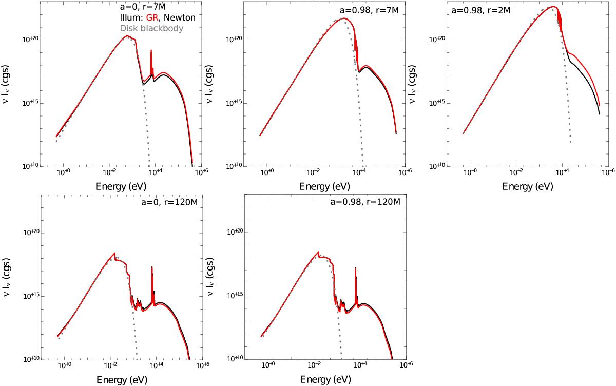
Fig. 3

image

Local νIν spectra: impact of illumination computation (Newtonian or GR) and spin. Only one direction cosine is considered, cosi = 0.98 (almost face-on, i.e., close to the normal to the disk). The illumination is computed in general relativity (red) or in a Newtonian spacetime (black). The gray dotted spectrum is the blackbody function at the local temperature. The spin is 0 is the left column and 0.98 in the right column. The spectrum is computed at r = 2 M (upper row, right panel), r = 7 M (upper row left and middle panels) or r = 120 M (lower row).

Current usage metrics show cumulative count of Article Views (full-text article views including HTML views, PDF and ePub downloads, according to the available data) and Abstracts Views on Vision4Press platform.

Data correspond to usage on the plateform after 2015. The current usage metrics is available 48-96 hours after online publication and is updated daily on week days.

Initial download of the metrics may take a while.