Free Access

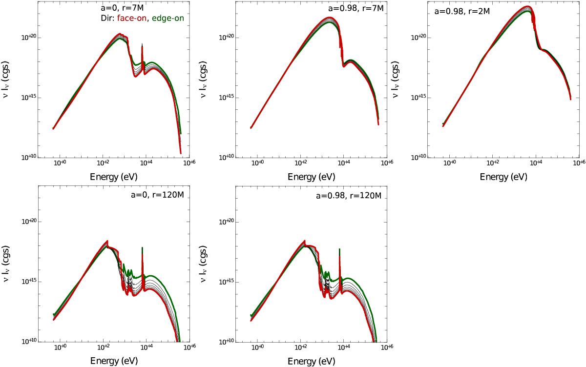
Fig. 5

image

Local νIν spectra: impact of direction. The illumination is computed in general relativity. The spectrum is computed at r = 7 M (top row) and r = 120 M (bottom row). The spin is 0 (left panel) or 0.98 (right panel). All 8 direction cosines cosi given in Table 2 are represented with almost face-on reflected spectrum (cosi = 0.98) in red and edge-on (cosi = 0.02) in green.

Current usage metrics show cumulative count of Article Views (full-text article views including HTML views, PDF and ePub downloads, according to the available data) and Abstracts Views on Vision4Press platform.

Data correspond to usage on the plateform after 2015. The current usage metrics is available 48-96 hours after online publication and is updated daily on week days.

Initial download of the metrics may take a while.