Free Access

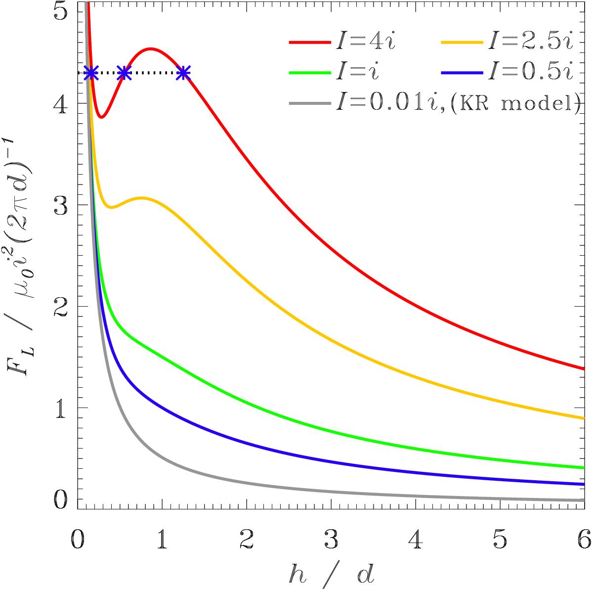
Fig. 2

image

Magnetic force FL (2) acting upwards on the unperturbed prominence for different values of the prominence i and photospheric I currents. The horizontal dotted line shows a constant gravity force ρg needed to satisfy equilibrium condition (2). This example shows that the system may have up to three different equilibria (blue asterisks) depending upon the values of the parameters of the model.

Current usage metrics show cumulative count of Article Views (full-text article views including HTML views, PDF and ePub downloads, according to the available data) and Abstracts Views on Vision4Press platform.

Data correspond to usage on the plateform after 2015. The current usage metrics is available 48-96 hours after online publication and is updated daily on week days.

Initial download of the metrics may take a while.