Free Access

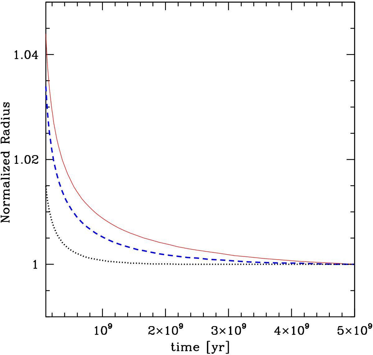
Fig. 2

image

Normalized radius (defined as the ratio of the radius at a given time and the radius at 5 Gyr) as a function of time for three 12 M planet models. Solid line: volatile fraction fvol = 0 and gas fraction fgas = 0.1. Dashed line: volatile fraction fvol = 0.7 and gas fraction fgas = 0.1. Dotted line: volatile fraction fvol = 0.7 and gas fraction fgas = 0.04. The first and third planets have by construction the same radius at 5 Gyr (3.23 R), whereas the second one is larger (3.67 R).

Current usage metrics show cumulative count of Article Views (full-text article views including HTML views, PDF and ePub downloads, according to the available data) and Abstracts Views on Vision4Press platform.

Data correspond to usage on the plateform after 2015. The current usage metrics is available 48-96 hours after online publication and is updated daily on week days.

Initial download of the metrics may take a while.