Free Access

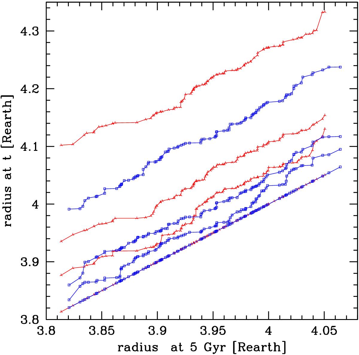
Fig. 5

image

Quantile-quantile plot of the radius distribution at different ages. The reference age is taken to be 5 Gyr. The red three-branch stars represent the population of planets without volatiles and with a gas fraction of 20%. The blue open squares show the population of planets with 70% volatiles in the interior and a mean value of fgas = 13.8% of gas. From top to bottom, the curves correspond to 100 Myr, 500 Myr, 1 Gyr, and 5 Gyr.

Current usage metrics show cumulative count of Article Views (full-text article views including HTML views, PDF and ePub downloads, according to the available data) and Abstracts Views on Vision4Press platform.

Data correspond to usage on the plateform after 2015. The current usage metrics is available 48-96 hours after online publication and is updated daily on week days.

Initial download of the metrics may take a while.