Free Access
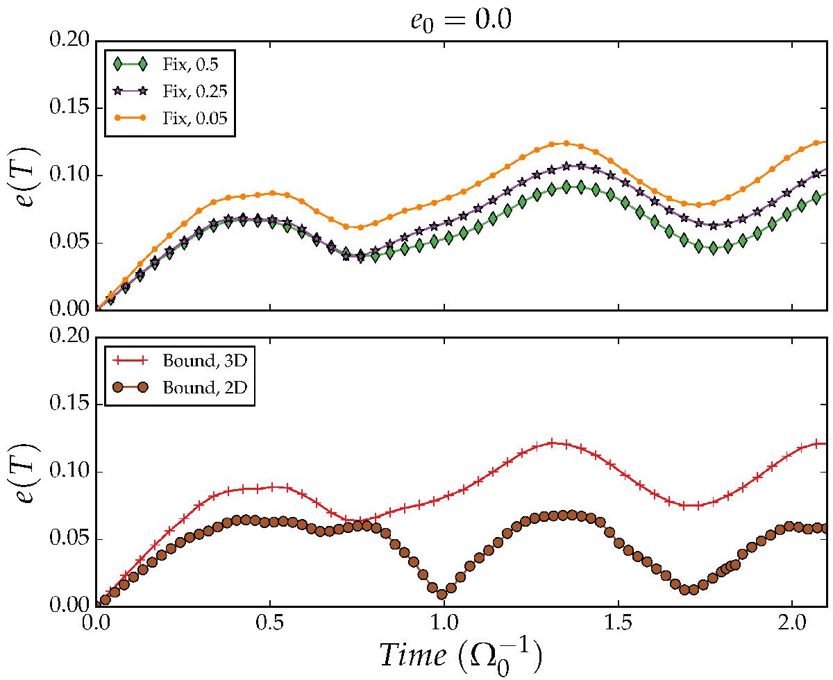
Fig. 10

Same as Fig. 4, evolution of the MBHB eccentricity as a function of time (in units of ) for the circular case, with e0 = 0. Upper panel: evolution of the Rfix accretion prescriptions. Lower panel: comparison between the Rbound prescription between the 2D and 3D experiments.
Current usage metrics show cumulative count of Article Views (full-text article views including HTML views, PDF and ePub downloads, according to the available data) and Abstracts Views on Vision4Press platform.
Data correspond to usage on the plateform after 2015. The current usage metrics is available 48-96 hours after online publication and is updated daily on week days.
Initial download of the metrics may take a while.