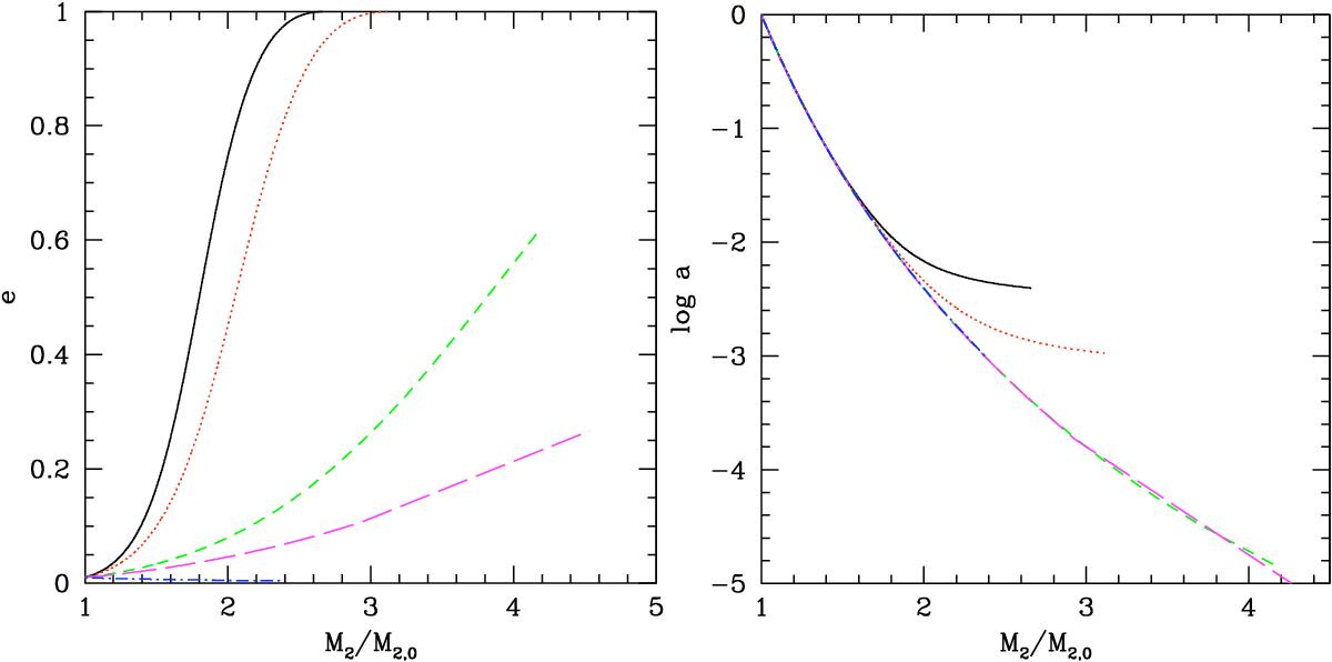
Fig. 13

Eccentricity e (left panel) and semi-major axis (right panel) versus M2/M2,0 for a nearly circular orbit, with e0 = 0.01, as computed within the semi-analytical model. Line colors and style codes are the same as in Fig. 12. For a retrograde disc with background density
scaling with n< 3/2 (solid-black, red-dotted lines) the evolution stops at the time the eccentricity e → 1. By contrast, when n> 3/2 (as in the remaining cases, i.e., n = 2,2.2 and 3) the semi-major axis decays very rapidly before the eccentricity has time to rise up to unity.
Current usage metrics show cumulative count of Article Views (full-text article views including HTML views, PDF and ePub downloads, according to the available data) and Abstracts Views on Vision4Press platform.
Data correspond to usage on the plateform after 2015. The current usage metrics is available 48-96 hours after online publication and is updated daily on week days.
Initial download of the metrics may take a while.