Free Access
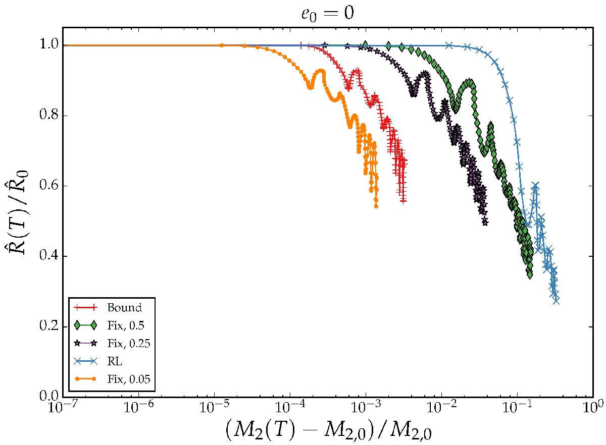
Fig. 5

Binary separation as a function of the secondary mass, for different accretion prescriptions. The binary separation and M2 are normalized to their initial values. The evolution is followed for a time equal to . Line color and style codes are the same as in Fig. 2.
Current usage metrics show cumulative count of Article Views (full-text article views including HTML views, PDF and ePub downloads, according to the available data) and Abstracts Views on Vision4Press platform.
Data correspond to usage on the plateform after 2015. The current usage metrics is available 48-96 hours after online publication and is updated daily on week days.
Initial download of the metrics may take a while.