Free Access

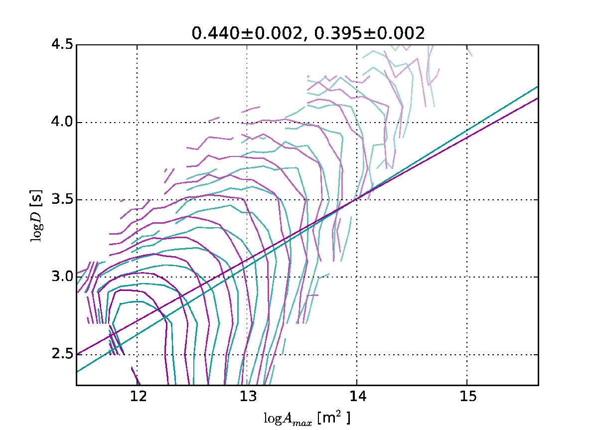
Fig. 9

image

Joint distribution of the combined events maximum area Amax and their duration D, for periods 1 (cyan) and 2 (magenta). The curves are level lines of the joint empirical probability distribution of Amax and D, obtained by dividing a 2D histogram of these quantities by the number of data points and by the area of each bin (bins are spaced exponentially); probabilities associated with different curves are spaced exponentially and are separated by a half decade, from low probabilities (light colours) to high probabilities (dark colours). Linear fits of D(Amax) are overplotted and their slopes are shown above the plot.

Current usage metrics show cumulative count of Article Views (full-text article views including HTML views, PDF and ePub downloads, according to the available data) and Abstracts Views on Vision4Press platform.

Data correspond to usage on the plateform after 2015. The current usage metrics is available 48-96 hours after online publication and is updated daily on week days.

Initial download of the metrics may take a while.