Free Access

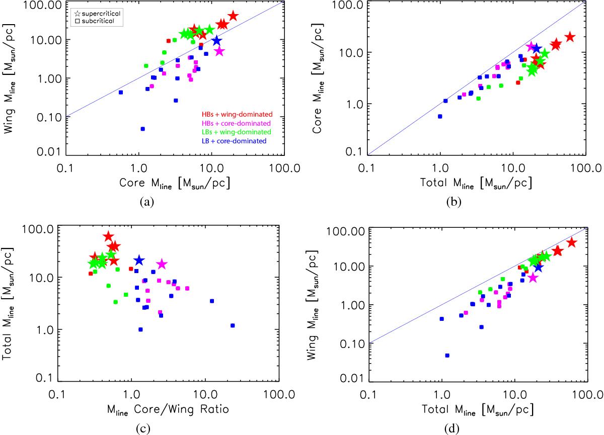
Fig. 5

image

Distributions and correlations of key filament parameters for core-scale subcritical (squares) and supercritical (stars) filaments. Intrinsic total linear mass density Mline,tot, core linear mass density Mline,core, wing linear mass density Mline,wing, and ratio Mline,core/Mline,wing. Low-background filaments (LBs: blue/green) are separated from those in denser (high-background) environments with AV> 2.2 mag (HBs: magenta/red) (see text). For each type of environment, filaments are further separated according to the relative contribution of core/wing components to their Mline,tot: core-dominated (blue/magenta for LBs and HBs, respectively), and wing-dominated (green/red).The 1:1 relation (blue solid line) is shown for reference.

This figure is made of several images, please see below:

Current usage metrics show cumulative count of Article Views (full-text article views including HTML views, PDF and ePub downloads, according to the available data) and Abstracts Views on Vision4Press platform.

Data correspond to usage on the plateform after 2015. The current usage metrics is available 48-96 hours after online publication and is updated daily on week days.

Initial download of the metrics may take a while.