Highlight
Free Access

Fig. B.1

image

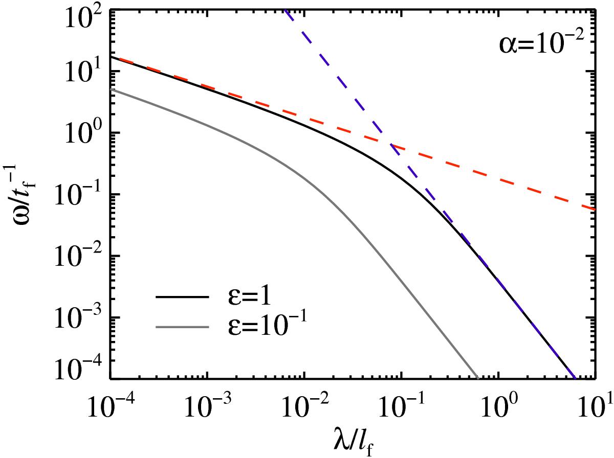
Linear behavior of the toy model. In black, the real solution to the dispersion relation is given (Eq. (10), with α = 0.01). The knee, the largest scale for fast growth, is located at λknee ≈ 0.08. The gray curve is the result for a dust-to-gas ratio of 0.1 as opposed to unity. The dashed red line gives the high k approximation (Eq. (11)) and the dashed blue line gives the low k approximation (Eq. (13)).

Current usage metrics show cumulative count of Article Views (full-text article views including HTML views, PDF and ePub downloads, according to the available data) and Abstracts Views on Vision4Press platform.

Data correspond to usage on the plateform after 2015. The current usage metrics is available 48-96 hours after online publication and is updated daily on week days.

Initial download of the metrics may take a while.