Highlight
Free Access

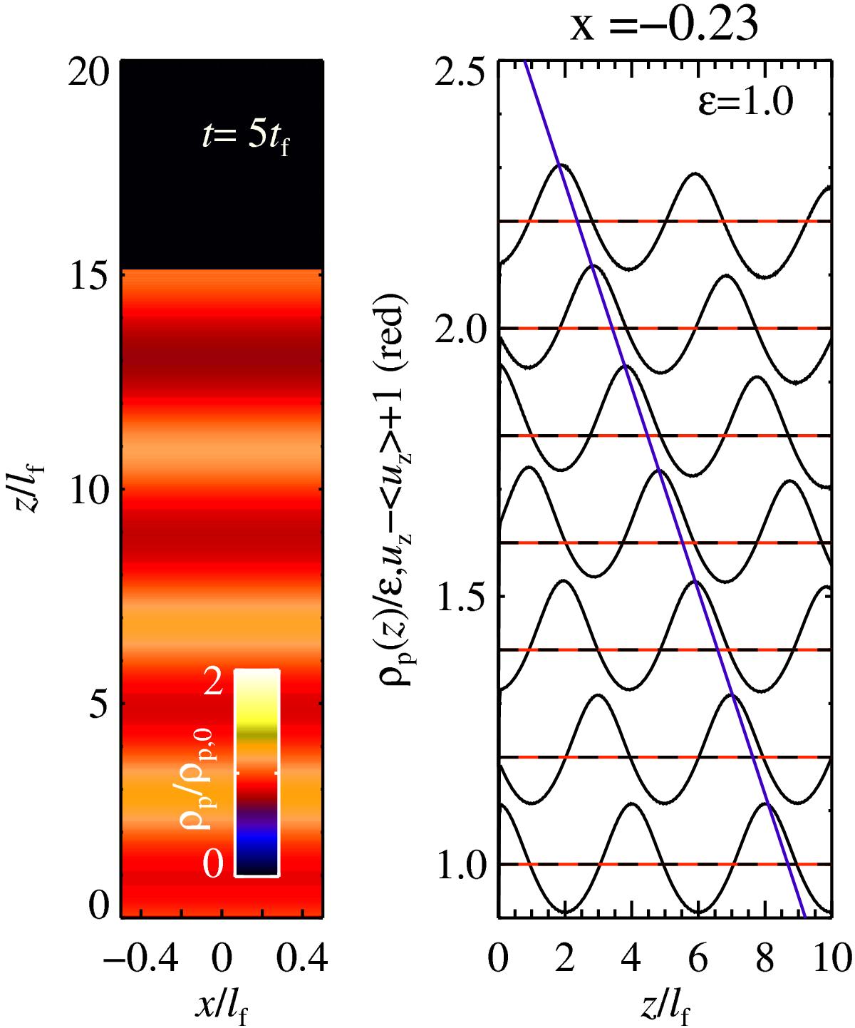
Fig. 4

image

Left panel: sedimenting particles with a kz = π/ 2-mode in the particle density. Represented is a snapshot of runRT at t = 5tf. No instabilities develop, suggesting that the drafting instability is not directly related to the Rayleigh-Taylor instabilities that should occur in this set up. Right panel: evolution of the sedimenting particle wave at an arbitrary placed slice at x = −0.23. Different curves represent different times (t = 0,1,2,...,6tf), that for clarity are offset by 0.2. The particle density ρp(z) is given in black, while the red dashed line gives the gas velocity uz(z). Particle ridges do not approach each other, as indicated by the blue line that tracks the position of a point advected with velocity vf. The pressure that is supporting the mass-loaded stratification adapts to compensate for small changes in the particle density. This allows uz(z) to remain zero while the particles sediment.

Current usage metrics show cumulative count of Article Views (full-text article views including HTML views, PDF and ePub downloads, according to the available data) and Abstracts Views on Vision4Press platform.

Data correspond to usage on the plateform after 2015. The current usage metrics is available 48-96 hours after online publication and is updated daily on week days.

Initial download of the metrics may take a while.