Free Access

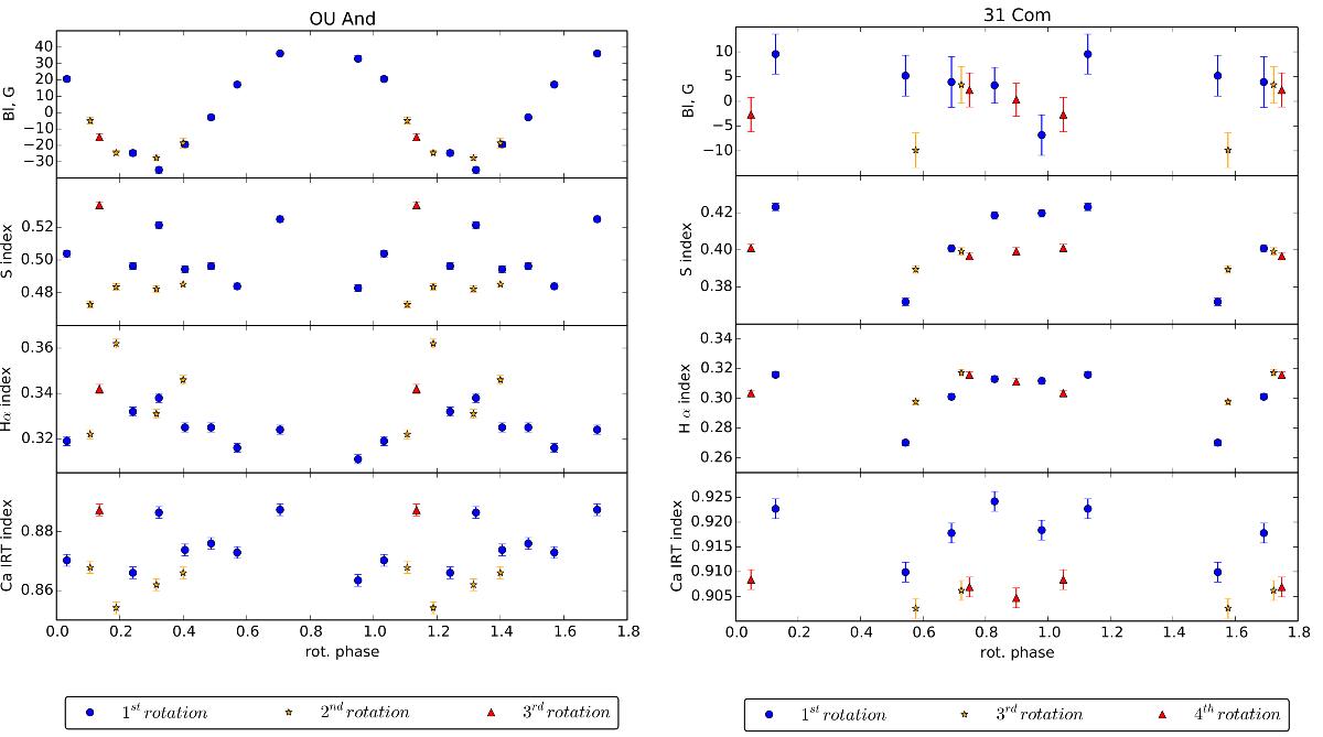
Fig. 1

image

Bl, S-index, Hα, and Ca ii IR triplet indexes behavior for OU And (left) and 31 Com (right). For both stars, phases are computed for ephemeris HJD0 = 2 454 101.5 and the rotational period of 24.2 d for OU And and 6.8 d for 31 Com.

This figure is made of several images, please see below:

Current usage metrics show cumulative count of Article Views (full-text article views including HTML views, PDF and ePub downloads, according to the available data) and Abstracts Views on Vision4Press platform.

Data correspond to usage on the plateform after 2015. The current usage metrics is available 48-96 hours after online publication and is updated daily on week days.

Initial download of the metrics may take a while.